До сих пор мы решали только уравнения целые относительно неизвестного, то есть уравнения, в которых знаменатели (если таковые имелись) не содержали неизвестное.
Часто приходится решать уравнения, содержащие неизвестное в знаменателях: такие уравнения называются дробными.
Чтобы решить это уравнение, умножим обе его части на то есть на многочлен, содержащий неизвестное. Будет ли новое уравнение равносильно данному? Чтобы ответить на вопрос, решим это уравнение.
Умножив обе части его на , получим:
![]()
Решив это уравнение первой степени, найдём:
Итак, уравнение (2) имеет единственный корень
Подставив его в уравнение (1), получим:

Значит, является корнем и уравнения (1).
Других корней уравнение (1) не имеет. В нашем примере это видно, например, из того, что в уравнении (1)
Как неизвестный делитель должен быть равен делимому 1, разделённому на частное 2, то есть
![]()
![]()
Итак, уравнения (1) и (2) имеют единственный корень Значит, они равносильны.
2. Решим теперь такое уравнение:
Простейший общий знаменатель: ; умножим на него все члены уравнения:
После сокращения получим:
Раскроем скобки:
Приведя подобные члены, будем иметь:
![]()
Решив это уравнение, найдём:
Подставив в уравнение (1), получим:
![]()
В левой части получили выражения, не имеющие смысла.
Значит, корнем уравнения (1) не является. Отсюда следует, что уравнения (1) и неравносильны.
Говорят в этом случае, что уравнение (1) приобрело посторонний корень.
Сравним решение уравнения (1) с решением уравнений, рассмотренных нами раньше (см. § 51). При решении этого уравнения нам пришлось выполнить две такие операции, которые раньше не встречались: во-первых, мы умножили обе части уравнения на выражение, содержащее неизвестное (общий знаменатель), и, во-вторых, мы сокращали алгебраические дроби на множители, содержащие неизвестное.
Сравнивая уравнение (1) с уравнением (2), мы видим, что не все значения х, допустимые для уравнения (2), являются допустимыми для уравнения (1).
Именно числа 1 и 3 не являются допустимыми значениями неизвестного для уравнения (1), а в результате преобразования они стали допустимыми для уравнения (2). Одно из этих чисел оказалось решением уравнения (2), но, разумеется, решением уравнения (1) .оно быть не может. Уравнение (1) решений не имеет.
Этот пример показывает, что при умножении обеих частей уравнения на множитель, содержащий неизвестное, и при сокращении алгебраических дробей может получиться уравнение, неравносильное данному, а именно: могут появиться посторонние корни.
Отсюда делаем такой вывод. При решении уравнения, содержащего неизвестное в знаменателе, полученные корни надо проверять подстановкой в первоначальное уравнение. Посторонние корни надо отбросить.
Соблюдение Вашей конфиденциальности важно для нас. По этой причине, мы разработали Политику Конфиденциальности, которая описывает, как мы используем и храним Вашу информацию. Пожалуйста, ознакомьтесь с нашими правилами соблюдения конфиденциальности и сообщите нам, если у вас возникнут какие-либо вопросы.
Сбор и использование персональной информации
Под персональной информацией понимаются данные, которые могут быть использованы для идентификации определенного лица либо связи с ним.
От вас может быть запрошено предоставление вашей персональной информации в любой момент, когда вы связываетесь с нами.
Ниже приведены некоторые примеры типов персональной информации, которую мы можем собирать, и как мы можем использовать такую информацию.
Какую персональную информацию мы собираем:
- Когда вы оставляете заявку на сайте, мы можем собирать различную информацию, включая ваши имя, номер телефона, адрес электронной почты и т.д.
Как мы используем вашу персональную информацию:
- Собираемая нами персональная информация позволяет нам связываться с вами и сообщать об уникальных предложениях, акциях и других мероприятиях и ближайших событиях.
- Время от времени, мы можем использовать вашу персональную информацию для отправки важных уведомлений и сообщений.
- Мы также можем использовать персональную информацию для внутренних целей, таких как проведения аудита, анализа данных и различных исследований в целях улучшения услуг предоставляемых нами и предоставления Вам рекомендаций относительно наших услуг.
- Если вы принимаете участие в розыгрыше призов, конкурсе или сходном стимулирующем мероприятии, мы можем использовать предоставляемую вами информацию для управления такими программами.
Раскрытие информации третьим лицам
Мы не раскрываем полученную от Вас информацию третьим лицам.
Исключения:
- В случае если необходимо — в соответствии с законом, судебным порядком, в судебном разбирательстве, и/или на основании публичных запросов или запросов от государственных органов на территории РФ — раскрыть вашу персональную информацию. Мы также можем раскрывать информацию о вас если мы определим, что такое раскрытие необходимо или уместно в целях безопасности, поддержания правопорядка, или иных общественно важных случаях.
- В случае реорганизации, слияния или продажи мы можем передать собираемую нами персональную информацию соответствующему третьему лицу – правопреемнику.
Защита персональной информации
Мы предпринимаем меры предосторожности — включая административные, технические и физические — для защиты вашей персональной информации от утраты, кражи, и недобросовестного использования, а также от несанкционированного доступа, раскрытия, изменения и уничтожения.
Соблюдение вашей конфиденциальности на уровне компании
Для того чтобы убедиться, что ваша персональная информация находится в безопасности, мы доводим нормы соблюдения конфиденциальности и безопасности до наших сотрудников, и строго следим за исполнением мер соблюдения конфиденциальности.
Решение уравнений с дробями рассмотрим на примерах. Примеры простые и показательные. С их помощью вы наиболее понятным образом сможете усвоить, .Например, требуется решить простое уравнение x/b + c = d.
Уравнения такого типа называется линейным, т.к. в знаменателе находятся только числа.
Решение выполняется путем умножения обоих частей уравнения на b, тогда уравнение принимает вид x = b*(d – c), т.е. знаменатель дроби в левой части сокращается.
Например, как решить дробное уравнение:x/5+4=9Умножаем обе части на 5. Получаем:х+20=45x=45-20=25
Другой пример, когда неизвестное находится в знаменателе:
Уравнения такого типа называются дробно-рациональными или просто дробными.
Решать дробное уравнение бы будем путем избавления от дробей, после чего это уравнение, чаще всего, превращается в линейное или квадратное, которое решается обычным способом. Следует только учесть следующие моменты:
- значение переменной, обращающее в 0 знаменатель, корнем быть не может;
- нельзя делить или умножать уравнение на выражение =0.
Здесь вступает в силу такое понятие, как область допустимых значений (ОДЗ) – это такие значения корней уравнения, при которых уравнение имеет смысл.
Таким образом решая уравнение, необходимо найти корни, после чего проверить их на соответствие ОДЗ. Те корни, которые не соответствуют нашей ОДЗ, из ответа исключаются.
Например, требуется решить дробное уравнение:
Исходя из вышеуказанного правила х не может быть = 0, т.е. ОДЗ в данном случае: х – любое значение, отличное от нуля.
Избавляемся от знаменателя путем умножения всех членов уравнения на х
И решаем обычное уравнение
5x – 2х = 13x = 1х = 1/3
Ответ: х = 1/3
Решим уравнение посложнее:
Здесь также присутствует ОДЗ: х -2.
Решая это уравнение, мы не станем переносить все в одну сторону и приводить дроби к общему знаменателю. Мы сразу умножим обе части уравнения на выражение, которое сократит сразу все знаменатели.
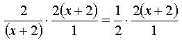
Для сокращения знаменателей требуется левую часть умножить на х+2, а правую — на 2. Значит, обе части уравнения надо умножать на 2(х+2):
Это самое обычное умножение дробей, которое мы уже рассмотрели выше
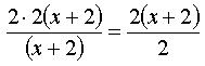
Запишем это же уравнение, но несколько по-другому
Левая часть сокращается на (х+2), а правая на 2. После сокращения получаем обычное линейное уравнение:
х = 4 – 2 = 2, что соответствует нашей ОДЗ
Ответ: х = 2.
Решение уравнений с дробями не так сложно, как может показаться. В этой статье мы на примерах это показали. Если у вас возникли какие то трудности с тем, как решать уравнения с дробями, то отписывайтесь в комментариях.
Продолжаем разговор про решение уравнений. В этой статье мы подробно остановимся на рациональных уравнениях и принципах решения рациональных уравнений с одной переменной. Сначала разберемся, уравнения какого вида называются рациональными, дадим определение целых рациональных и дробных рациональных уравнений, приведем примеры. Дальше получим алгоритмы решения рациональных уравнений, и, конечно же, рассмотрим решения характерных примеров со всеми необходимыми пояснениями.
Навигация по странице.
Отталкиваясь от озвученных определений, приведем несколько примеров рациональных уравнений. Например, x=1, 2·x−12·x 2 ·y·z 3 =0, , — это все рациональные уравнения.
Из показанных примеров видно, что рациональные уравнения, как, впрочем, и уравнения других видов, могут быть как с одной переменной, так и с двумя, тремя и т.д. переменными. В следующих пунктах мы будем говорить о решении рациональных уравнений с одной переменной. Решение уравнений с двумя переменными и их большим числом заслуживают отдельного внимания.
Помимо деления рациональных уравнений по количеству неизвестных переменных, их еще разделяют на целые и дробные. Дадим соответствующие определения.
Определение.
Рациональное уравнение называют целым, если и левая, и правая его части являются целыми рациональными выражениями.
Определение.
Если хотя бы одна из частей рационального уравнения является дробным выражением, то такое уравнение называется дробно рациональным (или дробным рациональным).
Понятно, что целые уравнения не содержат деления на переменную, напротив, дробные рациональные уравнения обязательно содержат деление на переменную (или переменную в знаменателе). Так 3·x+2=0 и (x+y)·(3·x 2 −1)+x=−y+0,5 – это целые рациональные уравнения, обе их части являются целыми выражениями. А и x:(5·x 3 +y 2)=3:(x−1):5 – примеры дробных рациональных уравнений.
Завершая этот пункт, обратим внимание на то, что известные к этому моменту линейные уравнения и квадратные уравнения являются целыми рациональными уравнениями.
Решение целых уравнений
Одним из основных подходов к решению целых уравнений является их сведение к равносильным алгебраическим уравнениям. Это можно сделать всегда, выполнив следующие равносильные преобразования уравнения :
- сначала выражение из правой части исходного целого уравнения переносят в левую часть с противоположным знаком, чтобы получить нуль в правой части;
- после этого в левой части уравнения образовавшееся стандартного вида.
В результате получается алгебраическое уравнение, которое равносильно исходному целому уравнению. Так в самых простых случаях решение целых уравнений сводятся к решению линейных или квадратных уравнений, а в общем случае – к решению алгебраического уравнения степени n. Для наглядности разберем решение примера.
Пример.
Найдите корни целого уравнения 3·(x+1)·(x−3)=x·(2·x−1)−3.
Решение.
Сведем решение этого целого уравнения к решению равносильного ему алгебраического уравнения. Для этого, во-первых, перенесем выражение из правой части в левую, в результате приходим к уравнению 3·(x+1)·(x−3)−x·(2·x−1)+3=0. И, во-вторых, преобразуем выражение, образовавшееся в левой части, в многочлен стандартного вида, выполнив необходимые : 3·(x+1)·(x−3)−x·(2·x−1)+3= (3·x+3)·(x−3)−2·x 2 +x+3= 3·x 2 −9·x+3·x−9−2·x 2 +x+3=x 2 −5·x−6. Таким образом, решение исходного целого уравнения сводится к решению квадратного уравнения x 2 −5·x−6=0.
Вычисляем его дискриминант D=(−5) 2 −4·1·(−6)=25+24=49, он положительный, значит, уравнение имеет два действительных корня, которые находим по формуле корней квадратного уравнения :
Для полной уверенности выполним проверку найденных корней уравнения. Сначала проверяем корень 6, подставляем его вместо переменной x в исходное целое уравнение: 3·(6+1)·(6−3)=6·(2·6−1)−3, что то же самое, 63=63. Это верное числовое равенство, следовательно, x=6 действительно является корнем уравнения. Теперь проверяем корень −1, имеем 3·(−1+1)·(−1−3)=(−1)·(2·(−1)−1)−3, откуда, 0=0. При x=−1 исходное уравнение также обратилось в верное числовое равенство, следовательно, x=−1 тоже является корнем уравнения.
Ответ:
6, −1.
Здесь еще нужно заметить, что с представлением целого уравнения в виде алгебраического уравнения связан термин «степень целого уравнения». Дадим соответствующее определение:
Определение.
Степенью целого уравнения называют степень равносильного ему алгебраического уравнения.
Согласно этому определению целое уравнение из предыдущего примера имеет вторую степень.
На этом можно бы было закончить с решением целых рациональных уравнений, если бы ни одно но…. Как известно, решение алгебраических уравнений степени выше второй сопряжено со значительными сложностями, а для уравнений степени выше четвертой вообще не существует общих формул корней. Поэтому для решения целых уравнений третьей, четвертой и более высоких степеней часто приходится прибегать к другим методам решения.
В таких случаях иногда выручает подход к решению целых рациональных уравнений, основанный на методе разложения на множители. При этом придерживаются следующего алгоритма:
- сначала добиваются, чтобы в правой части уравнения был нуль, для этого переносят выражение из правой части целого уравнения в левую;
- затем, полученное выражение в левой части представляют в виде произведения нескольких множителей, что позволяет перейти к совокупности нескольких более простых уравнений.
Приведенный алгоритм решения целого уравнения через разложение на множители требует детального разъяснения на примере.
Пример.
Решите целое уравнение (x 2 −1)·(x 2 −10·x+13)= 2·x·(x 2 −10·x+13).
Решение.
Сначала как обычно переносим выражение из правой части в левую часть уравнения, не забыв изменить знак, получаем (x 2 −1)·(x 2 −10·x+13)− 2·x·(x 2 −10·x+13)=0. Здесь достаточно очевидно, что не целесообразно преобразовывать левую часть полученного уравнения в многочлен стандартного вида, так как это даст алгебраическое уравнение четвертой степени вида x 4 −12·x 3 +32·x 2 −16·x−13=0, решение которого сложно.
С другой стороны, очевидно, что в левой части полученного уравнения можно x 2 −10·x+13, тем самым представив ее в виде произведения. Имеем (x 2 −10·x+13)·(x 2 −2·x−1)=0. Полученное уравнение равносильно исходному целому уравнению, и его, в свою очередь, можно заменить совокупностью двух квадратных уравнений x 2 −10·x+13=0 и x 2 −2·x−1=0. Нахождение их корней по известным формулам корней через дискриминант не составляет труда, корни равны . Они являются искомыми корнями исходного уравнения.
Ответ:
Для решения целых рациональных уравнений также бывает полезен метод введения новой переменной. В некоторых случаях он позволяет переходить к уравнениям, степень которых ниже, чем степень исходного целого уравнения.
Пример.
Найдите действительные корни рационального уравнения (x 2 +3·x+1) 2 +10=−2·(x 2 +3·x−4).
Решение.
Сведение данного целого рационального уравнения к алгебраическому уравнению является, мягко говоря, не очень хорошей идеей, так как в этом случае мы придем к необходимости решения уравнения четвертой степени, не имеющего рациональных корней. Поэтому, придется поискать другой способ решения.
Здесь несложно заметить, что можно ввести новую переменную y, и заменить ею выражение x 2 +3·x. Такая замена приводит нас к целому уравнению (y+1) 2 +10=−2·(y−4), которое после переноса выражения −2·(y−4) в левую часть и последующего преобразования образовавшегося там выражения, сводится к квадратному уравнению y 2 +4·y+3=0. Корни этого уравнения y=−1 и y=−3 легко находятся, например, их можно подобрать, основываясь на теореме, обратной теореме Виета .
Теперь переходим ко второй части метода введения новой переменной, то есть, к проведению обратной замены. Выполнив обратную замену, получаем два уравнения x 2 +3·x=−1 и x 2 +3·x=−3, которые можно переписать как x 2 +3·x+1=0 и x 2 +3·x+3=0. По формуле корней квадратного уравнения находим корни первого уравнения . А второе квадратное уравнение не имеет действительных корней, так как его дискриминант отрицателен (D=3 2 −4·3=9−12=−3).
Ответ:
Вообще, когда мы имеем дело с целыми уравнениями высоких степеней, всегда надо быть готовым к поиску нестандартного метода или искусственного приема для их решения.
Решение дробно рациональных уравнений
Сначала будет полезно разобраться, как решать дробно рациональные уравнения вида , где p(x) и q(x) – целые рациональные выражения. А дальше мы покажем, как свести решение остальных дробно рациональных уравнений к решению уравнений указанного вида.
В основе одного из подходов к решению уравнения лежит следующее утверждение: числовая дробь u/v, где v – отличное от нуля число (иначе мы столкнемся с , которое не определено), равна нулю тогда и только тогда, когда ее числитель равен нулю, то есть, тогда и только тогда, когда u=0. В силу этого утверждения, решение уравнения сводится к выполнению двух условий p(x)=0 и q(x)≠0.
Этому заключению соответствует следующий алгоритм решения дробно рационального уравнения . Чтобы решить дробное рациональное уравнение вида , надо
- решить целое рациональное уравнение p(x)=0;
- и проверить, выполняется ли для каждого найденного корня условие q(x)≠0, при этом
- если выполняется, то этот корень является корнем исходного уравнения;
- если не выполняется, то этот корень – посторонний, то есть, не является корнем исходного уравнения.
Разберем пример применения озвученного алгоритма при решении дробного рационального уравнения.
Пример.
Найдите корни уравнения .
Решение.
Это дробно рациональное уравнение, причем вида , где p(x)=3·x−2, q(x)=5·x 2 −2=0.
Согласно алгоритму решения дробно рациональных уравнений этого вида, нам сначала надо решить уравнение 3·x−2=0. Это линейное уравнение, корнем которого является x=2/3.
Осталось выполнить проверку для этого корня, то есть проверить, удовлетворяет ли он условию 5·x 2 −2≠0. Подставляем в выражение 5·x 2 −2 вместо x число 2/3, получаем . Условие выполнено, поэтому x=2/3 является корнем исходного уравнения.
Ответ:
2/3.
К решению дробного рационального уравнения можно подходить с немного другой позиции. Это уравнение равносильно целому уравнению p(x)=0 на переменной x исходного уравнения. То есть, можно придерживаться такого алгоритма решения дробно рационального уравнения :
- решить уравнение p(x)=0;
- найти ОДЗ переменной x;
- взять корни, принадлежащие области допустимых значений, — они являются искомыми корнями исходного дробного рационального уравнения.
Для примера решим дробное рациональное уравнение по этому алгоритму.
Пример.
Решите уравнение .
Решение.
Во-первых, решаем квадратное уравнение x 2 −2·x−11=0. Его корни можно вычислить, используя формулу корней для четного второго коэффициента , имеем D 1 =(−1) 2 −1·(−11)=12, и .
Во-вторых, находим ОДЗ переменной x для исходного уравнения. Ее составляют все числа, для которых x 2 +3·x≠0, что то же самое x·(x+3)≠0, откуда x≠0, x≠−3.
Остается проверить, входят ли найденные на первом шаге корни в ОДЗ. Очевидно, да. Следовательно, исходное дробно рациональное уравнение имеет два корня .
Ответ:
Отметим, что такой подход выгоднее первого, если легко находится ОДЗ, и особенно выгоден, если еще при этом корни уравнения p(x)=0 иррациональные, например, , или рациональные, но с довольно большим числителем и/или знаменателем, к примеру, 127/1101 и −31/59. Это связано с тем, что в таких случаях проверка условия q(x)≠0 потребует значительных вычислительных усилий, и проще исключить посторонние корни по ОДЗ.
В остальных случаях при решении уравнения , особенно когда корни уравнения p(x)=0 целые, выгоднее использовать первый из приведенных алгоритмов. То есть, целесообразно сразу находить корни целого уравнения p(x)=0, после чего проверять, выполняется ли для них условие q(x)≠0, а не находить ОДЗ, после чего решать уравнение p(x)=0 на этой ОДЗ. Это связано с тем, что в таких случаях сделать проверку обычно проще, чем найти ОДЗ.
Рассмотрим решение двух примеров для иллюстрации оговоренных нюансов.
Пример.
Найдите корни уравнения .
Решение.
Сначала найдем корни целого уравнения (2·x−1)·(x−6)·(x 2 −5·x+14)·(x+1)=0, составленного с использованием числителя дроби. Левая часть этого уравнения – произведение, а правая – нуль, поэтому, согласно методу решения уравнений через разложение на множители, это уравнение равносильно совокупности четырех уравнений 2·x−1=0, x−6=0, x 2 −5·x+14=0, x+1=0. Три из этих уравнений линейные и одно – квадратное, их мы умеем решать. Из первого уравнения находим x=1/2, из второго – x=6, из третьего – x=7, x=−2, из четвертого – x=−1.
С найденными корнями достаточно легко выполнить их проверку на предмет того, не обращается ли при них в нуль знаменатель дроби, находящейся в левой части исходного уравнения, а определить ОДЗ, напротив, не так просто, так как для этого придется решать алгебраическое уравнение пятой степени. Поэтому, откажемся от нахождения ОДЗ в пользу проверки корней. Для этого по очереди подставляем их вместо переменной x в выражение x 5 −15·x 4 +57·x 3 −13·x 2 +26·x+112, получающихся после подстановки, и сравниваем их с нулем:(1/2) 5 −15·(1/2) 4 + 57·(1/2) 3 −13·(1/2) 2 +26·(1/2)+112= 1/32−15/16+57/8−13/4+13+112= 122+1/32≠0;6 5 −15·6 4 +57·6 3 −13·6 2 +26·6+112= 448≠0;7 5 −15·7 4 +57·7 3 −13·7 2 +26·7+112=0;(−2) 5 −15·(−2) 4 +57·(−2) 3 −13·(−2) 2 + 26·(−2)+112=−720≠0;(−1) 5 −15·(−1) 4 +57·(−1) 3 −13·(−1) 2 + 26·(−1)+112=0.
Таким образом, 1/2, 6 и −2 являются искомыми корнями исходного дробно рационального уравнения, а 7 и −1 – посторонние корни.
Ответ:
1/2, 6, −2.
Пример.
Найдите корни дробного рационального уравнения .
Решение.
Сначала найдем корни уравнения (5·x 2 −7·x−1)·(x−2)=0. Это уравнение равносильно совокупности двух уравнений: квадратного 5·x 2 −7·x−1=0 и линейного x−2=0. По формуле корней квадратного уравнения находим два корня , а из второго уравнения имеем x=2.
Проверять, не обращается ли в нуль знаменатель при найденных значениях x, достаточно неприятно. А определить область допустимых значений переменной x в исходном уравнении достаточно просто. Поэтому, будем действовать через ОДЗ.
В нашем случае ОДЗ переменной x исходного дробно рационального уравнения составляют все числа, кроме тех, для которых выполняется условие x 2 +5·x−14=0. Корнями этого квадратного уравнения являются x=−7 и x=2, откуда делаем вывод про ОДЗ: ее составляют все такие x, что .
Остается проверить, принадлежат ли найденные корни и x=2 области допустимых значений. Корни — принадлежат, поэтому, они являются корнями исходного уравнения, а x=2 – не принадлежит, поэтому, это посторонний корень.
Ответ:
Еще полезным будет отдельно остановиться на случаях, когда в дробном рациональном уравнении вида в числителе находится число, то есть, когда p(x) представлено каким-либо числом. При этом
- если это число отлично от нуля, то уравнение не имеет корней, так как дробь равна нулю тогда и только тогда, когда ее числитель равен нулю;
- если это число нуль, то корнем уравнения является любое число из ОДЗ.
Пример.
Решение.
Так как в числителе дроби, находящейся в левой части уравнения, отличное от нуля число, то ни при каких x значение этой дроби не может равняться нулю. Следовательно, данное уравнение не имеет корней.
Ответ:
нет корней.
Пример.
Решите уравнение .
Решение.
В числителе дроби, находящейся в левой части данного дробного рационального уравнения, находится нуль, поэтому значение этой дроби равно нулю для любого x, при котором она имеет смысл. Другими словами, решением этого уравнения является любое значение x из ОДЗ этой переменной.
Осталось определить эту область допустимых значений. Она включает все такие значения x, при которых x 4 +5·x 3 ≠0. Решениями уравнения x 4 +5·x 3 =0 являются 0 и −5, так как, это уравнение равносильно уравнению x 3 ·(x+5)=0, а оно в свою очередь равносильно совокупности двух уравнений x 3 =0 и x+5=0, откуда и видны эти корни. Следовательно, искомой областью допустимых значений являются любые x, кроме x=0 и x=−5.
Таким образом, дробно рациональное уравнение имеет бесконечно много решений, которыми являются любые числа, кроме нуля и минус пяти.
Ответ:
Наконец, пришло время поговорить о решении дробных рациональных уравнений произвольного вида. Их можно записать как r(x)=s(x), где r(x) и s(x) – рациональные выражения, причем хотя бы одно из них дробное. Забегая вперед, скажем, что их решение сводится к решению уравнений уже знакомого нам вида .
Известно, что перенос слагаемого из одной части уравнения в другую с противоположным знаком приводит к равносильному уравнению, поэтому уравнению r(x)=s(x) равносильно уравнение r(x)−s(x)=0.
Также мы знаем, что можно любое , тождественно равную этому выражению. Таким образом, рациональное выражение в левой части уравнения r(x)−s(x)=0 мы всегда можем преобразовать в тождественно равную рациональную дробь вида .
Так мы от исходного дробного рационального уравнения r(x)=s(x) переходим к уравнению , а его решение, как мы выяснили выше, сводится к решению уравнения p(x)=0.
Но здесь обязательно надо учитывать тот факт, что при замене r(x)−s(x)=0 на , и дальше на p(x)=0, может произойти расширение области допустимых значений переменной x.
Следовательно, исходное уравнение r(x)=s(x) и уравнение p(x)=0, к которому мы пришли, могут оказаться неравносильными, и, решив уравнение p(x)=0, мы можем получить корни, которые будут посторонними корнями исходного уравнения r(x)=s(x). Выявить и не включать в ответ посторонние корни можно, либо выполнив проверку, либо проверив их принадлежность ОДЗ исходного уравнения.
Обобщим эту информацию в алгоритм решения дробного рационального уравнения r(x)=s(x). Чтобы решить дробное рациональное уравнение r(x)=s(x), надо
- Получить справа нуль с помощью переноса выражения из правой части с противоположным знаком.
- Выполнить действия с дробями и многочленами в левой части уравнения, тем самым преобразовав ее в рациональную дробь вида .
- Решить уравнение p(x)=0.
- Выявить и исключить посторонние корни, что делается посредством их подстановки в исходное уравнение или посредством проверки их принадлежности ОДЗ исходного уравнения.
Для большей наглядности покажем всю цепочку решения дробных рациональных уравнений:.
Давайте рассмотрим решения нескольких примеров с подробным пояснением хода решения, чтобы прояснить приведенный блок информации.
Пример.
Решите дробное рациональное уравнение .
Решение.
Будем действовать в соответствии с только что полученным алгоритмом решения. И сначала перенесем слагаемые из правой части уравнения в левую, в результате переходим к уравнению .
На втором шаге нам нужно преобразовать дробное рациональное выражение в левой части полученного уравнения к виду дроби . Для этого выполняем приведение рациональных дробей к общему знаменателю и упрощаем полученное выражение: . Так мы приходим к уравнению .
На следующем этапе нам нужно решить уравнение −2·x−1=0. Находим x=−1/2.
Остается проверить, не является ли найденное число −1/2 посторонним корнем исходного уравнения. Для этого можно сделать проверку или найти ОДЗ переменной x исходного уравнения. Продемонстрируем оба подхода.
Начнем с проверки. Подставляем в исходное уравнение вместо переменной x число −1/2, получаем , что то же самое, −1=−1. Подстановка дает верное числовое равенство, поэтому, x=−1/2 является корнем исходного уравнения.
Теперь покажем, как последний пункт алгоритма выполняется через ОДЗ. Областью допустимых значений исходного уравнения является множество всех чисел, кроме −1 и 0 (при x=−1 и x=0 обращаются в нуль знаменатели дробей). Найденный на предыдущем шаге корень x=−1/2 принадлежит ОДЗ, следовательно, x=−1/2 является корнем исходного уравнения.
Ответ:
−1/2.
Рассмотрим еще пример.
Пример.
Найдите корни уравнения .
Решение.
Нам требуется решить дробно рациональное уравнение, пройдем все шаги алгоритма.
Во-первых, переносим слагаемое из правой части в левую, получаем .
Во-вторых, преобразуем выражение, образовавшееся в левой части: . В результате приходим к уравнению x=0.
Его корень очевиден – это нуль.
На четвертом шаге остается выяснить, не является ли найденный корень посторонним для исходного дробно рационального уравнения. При его подстановке в исходное уравнение получается выражение . Очевидно, оно не имеет смысла, так как содержит деление на нуль. Откуда заключаем, что 0 является посторонним корнем. Следовательно, исходное уравнение не имеет корней.
7, что приводит к уравнению . Отсюда можно заключить, что выражение в знаменателе левой части должно быть равно из правой части, то есть, . Теперь вычитаем из обеих частей тройки: . По аналогии , откуда , и дальше .
Проверка показывает, что оба найденных корня являются корнями исходного дробного рационального уравнения.
Ответ:
Список литературы.
- Алгебра: учеб. для 8 кл. общеобразоват. учреждений / [Ю. Н. Макарычев, Н. Г. Миндюк, К. И. Нешков, С. Б. Суворова]; под ред. С. А. Теляковского. — 16-е изд. — М. : Просвещение, 2008. — 271 с. : ил. — ISBN 978-5-09-019243-9.
- Мордкович А. Г. Алгебра. 8 класс. В 2 ч. Ч. 1. Учебник для учащихся общеобразовательных учреждений / А. Г. Мордкович. — 11-е изд., стер. — М.: Мнемозина, 2009. — 215 с.: ил. ISBN 978-5-346-01155-2.
- Алгебра: 9 класс: учеб. для общеобразоват. учреждений / [Ю. Н. Макарычев, Н. Г. Миндюк, К. И. Нешков, С. Б. Суворова]; под ред. С. А. Теляковского. — 16-е изд. — М. : Просвещение, 2009. — 271 с. : ил. — ISBN 978-5-09-021134-5.
Целое выражение — это математическое выражение, составленное из чисел и буквенных переменных с помощью действий сложения, вычитания и умножения. Также к целым относятся выражения, которые имеют в своем составе деление на какое-либо число, отличное от нуля.
Понятие дробного рационального выражения
Дробное выражение — это математическое выражение, которое помимо действий сложения, вычитания и умножения, выполненных с числами и буквенными переменными, а также деления на число не равное нулю, содержит также деление на выражения с буквенными переменными.
Рациональные выражения — это все целые и дробные выражения. Рациональные уравнения — это уравнения, у которых левая и правые части являются рациональными выражениями. Если в рациональном уравнении левая и правая части будут являться целыми выражениями, то такое рациональное уравнение называется целым.
Если в рациональном уравнении левая или правая части будут являться дробными выражениями, то такое рациональное уравнение называется дробным.
Примеры дробных рациональных выражений
1. x-3/x = -6*x+19
2. (x-4)/(2*x+5) = (x+7)/(x-2)
3. (x-3)/(x-5) + 1/x = (x+5)/(x*(x-5))
Схема решения дробного рационального уравнения
1. Найти общий знаменатель всех дробей, которые входят в уравнение.
2. Умножить обе части уравнения на общий знаменатель.
3. Решить полученное целое уравнение.
4. Произвести проверку корней, и исключить те из них, которые обращают в нуль общий знаменатель.
Так как мы решаем дробные рациональные уравнения, то в знаменателях дробей будут переменные. Значит, будут они и в общем знаменателе. А во втором пункте алгоритма мы умножаем на общий знаменатель, то могут появится посторонние корни. При которых общий знаменатель будет равен нулю, а значит и умножение на него будет бессмысленным. Поэтому в конце обязательно делать проверку полученных корней.
Рассмотрим пример:
Решить дробное рациональное уравнение: (x-3)/(x-5) + 1/x = (x+5)/(x*(x-5)).
Будем придерживаться общей схемы: найдем сначала общий знаменатель всех дробей. Получим x*(x-5).
Умножим каждую дробь на общий знаменатель и запишем полученное целое уравнение.
(x-3)/(x-5) * (x*(x-5))= x*(x+3); 1/x * (x*(x-5)) = (x-5);(x+5)/(x*(x-5)) * (x*(x-5)) = (x+5);x*(x+3) + (x-5) = (x+5);
Упростим полученное уравнение. Получим:
x^2+3*x + x-5 — x — 5 =0;x^2+3*x-10=0;
Получили простое приведенное квадратное уравнение. Решаем его любым из известных способов, получаем корни x=-2 и x=5.
Теперь производим проверку полученных решений:
Подставляем числа -2 и 5 в общий знаменатель. При х=-2 общий знаменатель x*(x-5) не обращается в нуль, -2*(-2-5)=14. Значит число -2 будет являться корнем исходного дробного рационального уравнения.
При х=5 общий знаменатель x*(x-5) становится равным нулю. Следовательно, это число не является корнем исходного дробного рационального уравнения, так как там будет деление на нуль.
