Сегодня мы поговорим о формулах логарифмов и дадим показательные примеры решения.
Сами по себе подразумевают шаблоны решения согласно основным свойствам логарифмов. Прежде применять формулы логарифмов для решения напомним для вас, сначала все свойства:
Теперь на основе этих формул(свойств), покажем примеры решения логарифмов.
Примеры решения логарифмов на основании формул.
Логарифм положительного числа b по основанию a (обозначается log a b) — это показатель степени, в которую надо возвести a, чтобы получить b, при этом b > 0, a > 0, а 1.
Согласно определения log a b = x, что равносильно a x = b, поэтому log a a x = x.
Логарифмы, примеры:
log 2 8 = 3, т.к. 2 3 = 8
log 7 49 = 2, т.к. 7 2 = 49
log 5 1/5 = -1, т.к. 5 -1 = 1/5
Десятичный логарифм — это обычный логарифм, в основании которого находится 10. Обозначается как lg.
log 10 100 = 2, т.к. 10 2 = 100
Натуральный логарифм — также обычный логарифм логарифм, но уже с основанием е (е = 2,71828… — иррациональное число). Обозначается как ln.
Формулы или свойства логарифмов желательно запомнить, потому что они понадобятся нам в дальнейшем при решении логарифмов, логарифмических уравнений и неравенств. Давайте еще раз отработаем каждую формулу на примерах.
- Основное логарифмическое тождествоa log a b = b
8 2log 8 3 = (8 2log 8 3) 2 = 3 2 = 9
- Логарифм произведения равен сумме логарифмовlog a (bc) = log a b + log a c
log 3 8,1 + log 3 10 = log 3 (8,1*10) = log 3 81 = 4
- Логарифм частного равен разности логарифмовlog a (b/c) = log a b — log a c
9 log 5 50 /9 log 5 2 = 9 log 5 50- log 5 2 = 9 log 5 25 = 9 2 = 81
- Свойства степени логарифмируемого числа и основания логарифма
Показатель степени логарифмируемого числа log a b m = mlog a b
Показатель степени основания логарифма log a n b =1/n*log a b
log a n b m = m/n*log a b,
если m = n, получим log a n b n = log a b
log 4 9 = log 2 2 3 2 = log 2 3
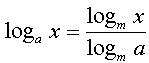
- Переход к новому основаниюlog a b = log c b/log c a,
если c = b, получим log b b = 1
тогда log a b = 1/log b a
log 0,8 3*log 3 1,25 = log 0,8 3*log 0,8 1,25/log 0,8 3 = log 0,8 1,25 = log 4/5 5/4 = -1
Как видите, формулы логарифмов не так сложны как кажутся. Теперь рассмотрев примеры решения логарифмов мы можем переходить к логарифмическим уравнениям. Примеры решения логарифмических уравнений мы более подробно рассмотрим в статье: » «. Не пропустите!
Если у вас остались вопросы по решению, пишите их в комментариях к статье.
Заметка: решили получить образование другого класса обучение за рубежом как вариант развития событий.
Логарифм числа b (b > 0) по основанию a (a > 0, a ≠ 1) – показатель степени, в которую нужно возвести число a, чтобы получить b.
Логарифм числа b по основанию 10 можно записать как lg(b), а логарифм по основанию e (натуральный логарифм) – ln(b).
Часто используется при решении задач с логарифмами:
Свойства логарифмов
Существует четыре основных свойства логарифмов.
Пусть a > 0, a ≠ 1, x > 0 и y > 0.
Свойство 1. Логарифм произведения
Логарифм произведения равен сумме логарифмов:
log a (x ⋅ y) = log a x + log a y
Свойство 2. Логарифм частного
Логарифм частного равен разности логарифмов:
log a (x / y) = log a x – log a y
Свойство 3. Логарифм степени
Логарифм степени равен произведению степени на логарифм:
Если в степени находится основание логарифма, то действует другая формула:
Свойство 4. Логарифм корня
Данной свойство можно получить из свойства логарифм степени, так как корень n-ой степени равен степени 1/n:
Формула перехода от логарифма в одном основании к логарифму при другом основании
Данная формула также часто применяется при решении различных заданий на логарифмы:
Частный случай:
Сравнение логарифмов (неравенства)
Пусть у нас есть 2 функции f(x) и g(x) под логарифмами с одинаковыми основаниями и между ними стоит знак неравенства:
Чтобы их сравнить, нужно сначала посмотреть на основание логарифмов a:
- Если a > 0, то f(x) > g(x) > 0
- Если 0
Как решать задачи с логарифмами: примеры
Задания с логарифмами включены в состав ЕГЭ по математике для 11 класса в задании 5 и задании 7, вы можете найти задания с решениями на нашем сайте в соответствующих разделах. Также задания с логарифмами встречаются в банке заданий по математике. Все примеры вы можете найти через поиск по сайту.
Что такое логарифм
Логарифмы всегда считались сложной темой в школьном курсе математики. Существует много разных определений логарифма, но большинство учебников почему-то используют самые сложные и неудачные из них.
Мы же определим логарифм просто и наглядно. Для этого составим таблицу:
Итак, перед нами степени двойки.
Логарифмы – свойства, формулы, как решать
Если взять число из нижней строчки, то можно легко найти степень, в которую придется возвести двойку, чтобы получилось это число. Например, чтобы получить 16, надо два возвести в четвертую степень. А чтобы получить 64, надо два возвести в шестую степень. Это видно из таблицы.
А теперь — собственно, определение логарифма:
по основанию a от аргумента x — это степень, в которую надо возвести число a, чтобы получить число x.
Обозначение: log a x = b, где a — основание, x — аргумент, b — собственно, чему равен логарифм.
Например, 2 3 = 8 ⇒log 2 8 = 3 (логарифм по основанию 2 от числа 8 равен трем, поскольку 2 3 = 8). С тем же успехом log 2 64 = 6, поскольку 2 6 = 64.
Операцию нахождения логарифма числа по заданному основанию называют. Итак, дополним нашу таблицу новой строкой:
2 12 22 32 42 52 6248163264log 2 2 = 1log 2 4 = 2log 2 8 = 3log 2 16 = 4log 2 32 = 5log 2 64 = 6
К сожалению, далеко не все логарифмы считаются так легко. Например, попробуйте найти log 2 5. Числа 5 нет в таблице, но логика подсказывает, что логарифм будет лежать где-то на отрезке . Потому что 2 2
Такие числа называются иррациональными: цифры после запятой можно писать до бесконечности, и они никогда не повторяются. Если логарифм получается иррациональным, его лучше так и оставить: log 2 5, log 3 8, log 5 100.
Важно понимать, что логарифм — это выражение с двумя переменными (основание и аргумент). Многие на первых порах путают, где находится основание, а где — аргумент. Чтобы избежать досадных недоразумений, просто взгляните на картинку:
Перед нами — не что иное как определение логарифма. Вспомните: логарифм — это степень, в которую надо возвести основание, чтобы получить аргумент. Именно основание возводится в степень — на картинке оно выделено красным. Получается, что основание всегда находится внизу! Это замечательное правило я рассказываю своим ученикам на первом же занятии — и никакой путаницы не возникает.
Как считать логарифмы
С определением разобрались — осталось научиться считать логарифмы, т.е. избавляться от знака «log». Для начала отметим, что из определения следует два важных факта:
- Аргумент и основание всегда должны быть больше нуля. Это следует из определения степени рациональным показателем, к которому сводится определение логарифма.
- Основание должно быть отличным от единицы, поскольку единица в любой степени все равно остается единицей. Из-за этого вопрос «в какую степень надо возвести единицу, чтобы получить двойку» лишен смысла. Нет такой степени!
Такие ограничения называются областью допустимых значений (ОДЗ). Получается, что ОДЗ логарифма выглядит так: log a x = b ⇒x > 0, a > 0, a ≠ 1.
Заметьте, что никаких ограничений на число b (значение логарифма) не накладывается. Например, логарифм вполне может быть отрицательным: log 2 0,5 = −1, т.к. 0,5 = 2 −1 .
Впрочем, сейчас мы рассматриваем лишь числовые выражения, где знать ОДЗ логарифма не требуется. Все ограничения уже учтены составителями задач. Но когда пойдут логарифмические уравнения и неравенства, требования ОДЗ станут обязательными. Ведь в основании и аргументе могут стоять весьма неслабые конструкции, которые совсем необязательно соответствуют приведенным выше ограничениям.
Теперь рассмотрим общую схему вычисления логарифмов. Она состоит из трех шагов:
- Представить основание a и аргумент x в виде степени с минимально возможным основанием, большим единицы. Попутно лучше избавиться от десятичных дробей;
- Решить относительно переменной b уравнение: x = a b ;
- Полученное число b будет ответом.
Вот и все! Если логарифм окажется иррациональным, это будет видно уже на первом шаге. Требование, чтобы основание было больше единицы, весьма актуально: это снижает вероятность ошибки и значительно упрощает выкладки. Аналогично с десятичными дробями: если сразу перевести их в обычные, ошибок будет в разы меньше.
Посмотрим, как работает эта схема на конкретных примерах:
Задача. Вычислите логарифм: log 5 25
- Представим основание и аргумент как степень пятерки: 5 = 5 1 ; 25 = 5 2 ;
- Получили ответ: 2.
Составим и решим уравнение:log 5 25 = b ⇒(5 1) b = 5 2 ⇒5 b = 5 2 ⇒ b = 2;
Задача. Вычислите логарифм:
Задача. Вычислите логарифм: log 4 64
- Представим основание и аргумент как степень двойки: 4 = 2 2 ; 64 = 2 6 ;
- Составим и решим уравнение:log 4 64 = b ⇒(2 2) b = 2 6 ⇒2 2b = 2 6 ⇒2b = 6 ⇒ b = 3;
- Получили ответ: 3.
Задача. Вычислите логарифм: log 16 1
- Представим основание и аргумент как степень двойки: 16 = 2 4 ; 1 = 2 0 ;
- Составим и решим уравнение:log 16 1 = b ⇒(2 4) b = 2 0 ⇒2 4b = 2 0 ⇒4b = 0 ⇒ b = 0;
- Получили ответ: 0.
Задача. Вычислите логарифм: log 7 14
- Представим основание и аргумент как степень семерки: 7 = 7 1 ; 14 в виде степени семерки не представляется, поскольку 7 1
- Из предыдущего пункта следует, что логарифм не считается;
- Ответ — без изменений: log 7 14.
Небольшое замечание к последнему примеру. Как убедиться, что число не является точной степенью другого числа? Очень просто — достаточно разложить его на простые множители. Если в разложении есть хотя бы два различных множителя, число не является точной степенью.
Задача. Выясните, являются ли точными степенями числа: 8; 48; 81; 35; 14.
8 = 2 · 2 · 2 = 2 3 — точная степень, т.к. множитель всего один; 48 = 6 · 8 = 3 · 2 · 2 · 2 · 2 = 3 · 2 4 — не является точной степенью, поскольку есть два множителя: 3 и 2; 81 = 9 · 9 = 3 · 3 · 3 · 3 = 3 4 — точная степень; 35 = 7 · 5 — снова не является точной степенью; 14 = 7 · 2 — опять не точная степень;
Заметим также, что сами простые числа всегда являются точными степенями самих себя.
Десятичный логарифм
Некоторые логарифмы встречаются настолько часто, что имеют специальное название и обозначение.
от аргумента x — это логарифм по основанию 10, т.е. степень, в которую надо возвести число 10, чтобы получить число x. Обозначение: lg x.
Например, lg 10 = 1; lg 100 = 2; lg 1000 = 3 — и т.д.
Отныне, когда в учебнике встречается фраза типа «Найдите lg 0,01», знайте: это не опечатка. Это десятичный логарифм. Впрочем, если вам непривычно такое обозначение, его всегда можно переписать: lg x = log 10 x
Все, что верно для обычных логарифмов, верно и для десятичных.
Натуральный логарифм
Существует еще один логарифм, который имеет собственное обозначение. В некотором смысле, он даже более важен, чем десятичный. Речь идет о натуральном логарифме.
от аргумента x — это логарифм по основанию e, т.е. степень, в которую надо возвести число e, чтобы получить число x. Обозначение: ln x.
Многие спросят: что еще за число e? Это иррациональное число, его точное значение найти и записать невозможно. Приведу лишь первые его цифры:e = 2,718281828459…
Не будем углубляться, что это за число и зачем нужно. Просто помните, что e — основание натурального логарифма: ln x = log e x
Таким образом, ln e = 1; ln e 2 = 2; ln e 16 = 16 — и т.д. С другой стороны, ln 2 — иррациональное число. Вообще, натуральный логарифм любого рационального числа иррационален. Кроме, разумеется, единицы: ln 1 = 0.
Для натуральных логарифмов справедливы все правила, которые верны для обычных логарифмов.
Смотрите также:
Логарифм. Свойства логарифма (степень логарифма).
Как представить число в виде логарифма?
Используем определение логарифма.
Логарифм — это показатель степени, в которую надо возвести основание, чтобы получить число, стоящее под знаком логарифма.
Таким образом, чтобы представить некоторое число c в виде логарифма по основанию a, надо под знак логарифма поставить степень с тем же основанием, что и основание логарифма, а в показатель степени записать это число c:
В виде логарифма можно представить абсолютно любое число — положительное, отрицательное, целое, дробное, рациональное, иррациональное:
![]()
Чтобы в стрессовых условиях контрольной или экзамена не перепутать a и c, можно воспользоваться таким правилом для запоминания:
то, что внизу, идёт вниз, то, что вверху, идёт вверх.
Например, нужно представить число 2 в виде логарифма по основанию 3.
У нас есть два числа — 2 и 3. Эти числа — основание и показатель степени, которую мы запишем под знак логарифма. Остаётся определить, которое из этих чисел нужно записать вниз, в основание степени, а которое — вверх, в показатель.
Основание 3 в записи логарифма стоит внизу, значит, когда мы будем представлять двойку в виде логарифма по основанию 3, 3 также запишем вниз, в основание.
2 стоит выше тройки. И в записи степени двойку запишем выше тройки, то есть, в показатель степени:
Логарифмы. Начальный уровень.
Логарифмы
Логарифмом положительного числа b по основанию a, где a > 0, a ≠ 1, называется показатель степени, в которую надо возвести число a, чтобы получить b.
Определение логарифма можно кратко записать так:
Это равенство справедливо при b > 0, a > 0, a ≠ 1. Его обычно называют логарифмическим тождеством.Действие нахождения логарифма числа называют логарифмированием.
Свойства логарифмов:
Логарифм произведения:
Логарифм частного от деления:
Замена основания логарифма:
![]()
Логарифм степени:
Логарифм корня:
![]()
Логарифм со степенным основанием:
![]()
![]()
![]()
Десятичные и натуральные логарифмы.
Десятичным логарифмом числа называют логарифм этого числа по основанию 10 и пишут   lg bНатуральным логарифмом числа называют логарифм этого числа по основанию e, где e — иррациональное число, приближенно равное 2,7. При этом пишут ln b.
Другие заметки по алгебре и геометрии
Основные свойства логарифмов
Основные свойства логарифмов
Логарифмы, как и любые числа, можно складывать, вычитать и всячески преобразовывать. Но поскольку логарифмы — это не совсем обычные числа, здесь есть свои правила, которые называются основными свойствами.
Эти правила обязательно надо знать — без них не решается ни одна серьезная логарифмическая задача. К тому же, их совсем немного — все можно выучить за один день. Итак, приступим.
Сложение и вычитание логарифмов
Рассмотрим два логарифма с одинаковыми основаниями: log a x и log a y. Тогда их можно складывать и вычитать, причем:
- log a x + log a y = log a (x · y);
- log a x − log a y = log a (x: y).
Итак, сумма логарифмов равна логарифму произведения, а разность — логарифму частного. Обратите внимание: ключевой момент здесь — одинаковые основания. Если основания разные, эти правила не работают!
Эти формулы помогут вычислить логарифмическое выражение даже тогда, когда отдельные его части не считаются (см. урок «Что такое логарифм»). Взгляните на примеры — и убедитесь:
Log 6 4 + log 6 9.
Поскольку основания у логарифмов одинаковые, используем формулу суммы:log 6 4 + log 6 9 = log 6 (4 · 9) = log 6 36 = 2.
Задача. Найдите значение выражения: log 2 48 − log 2 3.
Основания одинаковые, используем формулу разности:log 2 48 − log 2 3 = log 2 (48: 3) = log 2 16 = 4.
Задача. Найдите значение выражения: log 3 135 − log 3 5.
Снова основания одинаковые, поэтому имеем:log 3 135 − log 3 5 = log 3 (135: 5) = log 3 27 = 3.
Как видите, исходные выражения составлены из «плохих» логарифмов, которые отдельно не считаются. Но после преобразований получаются вполне нормальные числа. На этом факте построены многие контрольные работы. Да что контрольные — подобные выражения на полном серьезе (иногда — практически без изменений) предлагаются на ЕГЭ.
Вынесение показателя степени из логарифма
Теперь немного усложним задачу. Что, если в основании или аргументе логарифма стоит степень? Тогда показатель этой степени можно вынести за знак логарифма по следующим правилам:
![]()
Несложно заметить, что последнее правило следует их первых двух. Но лучше его все-таки помнить — в некоторых случаях это значительно сократит объем вычислений.
Разумеется, все эти правила имеют смысл при соблюдении ОДЗ логарифма: a > 0, a ≠ 1, x > 0. И еще: учитесь применять все формулы не только слева направо, но и наоборот, т.е. можно вносить числа, стоящие перед знаком логарифма, в сам логарифм.
Как решать логарифмы
Именно это чаще всего и требуется.
Задача. Найдите значение выражения: log 7 49 6 .
Избавимся от степени в аргументе по первой формуле:log 7 49 6 = 6 · log 7 49 = 6 · 2 = 12
Задача. Найдите значение выражения:
Заметим, что в знаменателе стоит логарифм, основание и аргумент которого являются точными степенями: 16 = 2 4 ; 49 = 7 2 . Имеем:
Думаю, к последнему примеру требуются пояснения. Куда исчезли логарифмы? До самого последнего момента мы работаем только со знаменателем. Представили основание и аргумент стоящего там логарифма в виде степеней и вынесли показатели — получили «трехэтажную» дробь.
Теперь посмотрим на основную дробь. В числителе и знаменателе стоит одно и то же число: log 2 7. Поскольку log 2 7 ≠ 0, можем сократить дробь — в знаменателе останется 2/4. По правилам арифметики, четверку можно перенести в числитель, что и было сделано. В результате получился ответ: 2.
Переход к новому основанию
Говоря о правилах сложения и вычитания логарифмов, я специально подчеркивал, что они работают только при одинаковых основаниях. А что, если основания разные? Что, если они не являются точными степенями одного и того же числа?
На помощь приходят формулы перехода к новому основанию. Сформулируем их в виде теоремы:
Пусть дан логарифм log a x. Тогда для любого числа c такого, что c > 0 и c ≠ 1, верно равенство:
В частности, если положить c = x, получим:
Из второй формулы следует, что можно менять местами основание и аргумент логарифма, но при этом все выражение «переворачивается», т.е. логарифм оказывается в знаменателе.
Эти формулы редко встречается в обычных числовых выражениях. Оценить, насколько они удобны, можно только при решении логарифмических уравнений и неравенств.
Впрочем, существуют задачи, которые вообще не решаются иначе как переходом к новому основанию. Рассмотрим парочку таких:
Задача. Найдите значение выражения: log 5 16 · log 2 25.
Заметим, что в аргументах обоих логарифмов стоят точные степени. Вынесем показатели: log 5 16 = log 5 2 4 = 4log 5 2; log 2 25 = log 2 5 2 = 2log 2 5;
А теперь «перевернем» второй логарифм:
Поскольку от перестановки множителей произведение не меняется, мы спокойно перемножили четверку и двойку, а затем разобрались с логарифмами.
Задача. Найдите значение выражения: log 9 100 · lg 3.
Основание и аргумент первого логарифма — точные степени. Запишем это и избавимся от показателей:
Теперь избавимся от десятичного логарифма, перейдя к новому основанию:
Основное логарифмическое тождество
Часто в процессе решения требуется представить число как логарифм по заданному основанию.
В этом случае нам помогут формулы:
В первом случае число n становится показателем степени, стоящей в аргументе. Число n может быть абсолютно любым, ведь это просто значение логарифма.
Вторая формула — это фактически перефразированное определение. Она так и называется: .
В самом деле, что будет, если число b возвести в такую степень, что число b в этой степени дает число a? Правильно: получится это самое число a. Внимательно прочитайте этот абзац еще раз — многие на нем «зависают».
Подобно формулам перехода к новому основанию, основное логарифмическое тождество иногда бывает единственно возможным решением.
Задача. Найдите значение выражения:
Заметим, что log 25 64 = log 5 8 — просто вынесли квадрат из основания и аргумента логарифма. Учитывая правила умножения степеней с одинаковым основанием, получаем:
Если кто-то не в курсе, это была настоящая задача из ЕГЭ 🙂
Логарифмическая единица и логарифмический ноль
В заключение приведу два тождества, которые сложно назвать свойствами — скорее, это следствия из определения логарифма. Они постоянно встречаются в задачах и, что удивительно, создают проблемы даже для «продвинутых» учеников.
- log a a = 1 — это. Запомните раз и навсегда: логарифм по любому основанию a от самого этого основания равен единице.
- log a 1 = 0 — это. Основание a может быть каким угодно, но если в аргументе стоит единица — логарифм равен нулю! Потому что a 0 = 1 — это прямое следствие из определения.
Вот и все свойства. Обязательно потренируйтесь применять их на практике! Скачайте шпаргалку в начале урока, распечатайте ее — и решайте задачи.
Как известно, при перемножении выражений со степенями их показатели всегда складываются (a b *a c = a b+c). Этот математический закон был выведен Архимедом, а позже, в VIII веке, математик Вирасен создал таблицу целых показателей. Именно они послужили для дальнейшего открытия логарифмов. Примеры использования этой функции можно встретить практически везде, где требуется упростить громоздкое умножение на простое сложение. Если вы потратите минут 10 на прочтение этой статьи, мы вам объясним, что такое логарифмы и как с ними работать. Простым и доступным языком.
Определение в математике
Логарифмом называется выражение следующего вида: log a b=c, то есть логарифмом любого неотрицательного числа (то есть любого положительного) «b» по его основанию «a» считается степень «c», в которую необходимо возвести основание «a», чтобы в итоге получить значение «b». Разберем логарифм на примерах, допустим, есть выражение log 2 8. Как найти ответ? Очень просто, нужно найти такую степень, чтобы из 2 в искомой степени получить 8. Проделав в уме некоторые расчеты, получаем число 3! И верно, ведь 2 в степени 3 дает в ответе число 8.
Разновидности логарифмов
Для многих учеников и студентов эта тема кажется сложной и непонятной, однако на самом деле логарифмы не так страшны, главное — понять общий их смысл и запомнить их свойста и некоторые правила. Существует три отдельных вида логарифмических выражений:
- Натуральный логарифм ln a, где основанием является число Эйлера (e = 2,7).
- Десятичный a, где основанием служит число 10.
- Логарифм любого числа b по основанию a>1.
Каждый из них решается стандартным способом, включающим в себя упрощение, сокращение и последующее приведение к одному логарифму с помощью логарифмических теорем. Для получения верных значений логарифмов следует запомнить их свойства и очередность действий при их решениях.
Правила и некоторые ограничения
В математике существует несколько правил-ограничений, которые принимаются как аксиома, то есть не подлежат обсуждению и являются истиной. Например, нельзя числа делить на ноль, а еще невозможно извлечь корень четной степени из отрицательных чисел. Логарифмы также имеют свои правила, следуя которым можно с легкостью научиться работать даже с длинными и емкими логарифмическими выражениями:
- основание «a» всегда должно быть больше нуля, и при этом не быть равным 1, иначе выражение потеряет свой смысл, ведь «1» и «0» в любой степени всегда равны своим значениям;
- если а > 0, то и а b >0, получается, что и «с» должно быть больше нуля.
Как решать логарифмы?
К примеру, дано задание найти ответ уравнения 10 х = 100. Это очень легко, нужно подобрать такую степень, возведя в которую число десять, мы получим 100. Это, конечно же, 10 2 =100.
А теперь давайте представим данное выражение в виде логарифмического. Получим log 10 100 = 2. При решении логарифмов все действия практически сходятся к тому, чтобы найти ту степень, в которую необходимо ввести основание логарифма, чтобы получить заданное число.
Для безошибочного определения значенияя неизвестной степени необходимо научиться работать с таблицей степеней. Выглядит она следующим образом:

Как видите, некоторые показатели степени можно угадать интуитивно, если имеется технический склад ума и знание таблицы умножения. Однако для больших значений потребуется таблица степеней. Ею могут пользоваться даже те, кто совсем ничего не смыслит в сложных математических темах. В левом столбце указаны числа (основание a), верхний ряд чисел — это значение степени c, в которую возводится число a. На пересечении в ячейках определены значения чисел, являющиеся ответом (a c =b). Возьмем, к примеру, самую первую ячейку с числом 10 и возведем ее в квадрат, получим значение 100, которое указано на пересечении двух наших ячеек. Все так просто и легко, что поймет даже самый настоящий гуманитарий!
Уравнения и неравенства
Получается, что при определенных условиях показатель степени — это и есть логарифм. Следовательно, любые математические численные выражения можно записать в виде логарифмического равенства. Например, 3 4 =81 можно записать в виде логарифма числа 81 по основанию 3, равному четырем (log 3 81 = 4). Для отрицательных степеней правила такие же: 2 -5 = 1/32 запишем в виде логарифма, получим log 2 (1/32) = -5. Одной из самых увлекательных разделов математики является тема «логарифмы». Примеры и решения уравнений мы рассмотрим чуть ниже, сразу же после изучения их свойств. А сейчас давайте разберем, как выглядят неравенства и как их отличить от уравнений.

Дано выражение следующего вида: log 2 (x-1) > 3 — оно является логарифмическим неравенством, так как неизвестное значение «х» находится под знаком логарифма. А также в выражении сравниваются две величины: логарифм искомого числа по основанию два больше, чем число три.
Самое главное отличие между логарифмическими уравнениями и неравенствами заключается в том, что уравнения с логарифмами (пример — логарифм 2 x = √9) подразумевают в ответе одно или несколько определенных числовых значений, тогда как при решении неравенства определяются как область допустимых значений, так и точки разрыва этой функции. Как следствие, в ответе получается не простое множество отдельных чисел как в ответе уравнения, а а непрерывный ряд или набор чисел.

Основные теоремы о логарифмах
При решении примитивных заданий по нахождению значений логарифма, его свойства можно и не знать. Однако когда речь заходит о логарифмических уравнениях или неравенствах, в первую очередь, необходимо четко понимать и применять на практике все основные свойства логарифмов. С примерами уравнений мы познакомимся позже, давайте сначала разберем каждое свойство более подробно.
- Основное тождество выглядит так: а logaB =B. Оно применяется только при условии, когда а больше 0, не равно единице и B больше нуля.
- Логарифм произведения можно представить в следующей формуле: log d (s 1 *s 2) = log d s 1 + log d s 2. При этом обязательным условием является: d, s 1 и s 2 > 0; а≠1. Можно привести доказательство для этой формулы логарифмов, с примерами и решением. Пусть log a s 1 = f 1 и log a s 2 = f 2 , тогда a f1 = s 1 , a f2 = s 2. Получаем, что s 1 *s 2 = a f1 *a f2 = a f1+f2 (свойства степеней), а далее по определению: log a (s 1 *s 2)= f 1 + f 2 = log a s1 + log a s 2, что и требовалось доказать.
- Логарифм частного выглядит так: log a (s 1/ s 2) = log a s 1 — log a s 2.
- Теорема в виде формулы приобретает следующий вид: log a q b n = n/q log a b.
Называется эта формула «свойством степени логарифма». Она напоминает собой свойства обычных степеней, и неудивительно, ведь вся математика держится на закономерных постулатах. Давайте посмотрим на доказательство.
Пусть log a b = t, получается a t =b. Если возвести обе части в степень m: a tn = b n ;
но так как a tn = (a q) nt/q = b n , следовательно log a q b n = (n*t)/t, тогда log a q b n = n/q log a b. Теорема доказана.
Примеры задач и неравенств
Самые распространенные типы задач на тему логарифмов — примеры уравнений и неравенств. Они встречаются практически во всех задачниках, а также входят в обязательную часть экзаменов по математике. Для поступления в университет или сдачи вступительных испытаний по математике необходимо знать, как правильно решать подобные задания.

К сожалению, единого плана или схемы по решению и определению неизвестного значения логарифма не существует, однако к каждому математическому неравенству или логарифмическому уравнению можно применить определенные правила. Прежде всего следует выяснить, можно ли упростить выражение или привести к общему виду. Упрощать длинные логарифмические выражения можно, если правильно использовать их свойства. Давайте скорее с ними познакомимся.
При решении же логарифмических уравнений, следует определить, какой перед нами вид логарифма: пример выражения может содержать натуральный логарифм или же десятичный.
Вот примеры ln100, ln1026. Их решение сводится к тому, что нужно определить ту степень, в которой основание 10 будет равно 100 и 1026 соответственно. Для решений же натуральных логарифмов нужно применить логарифмические тождества или же их свойства. Давайте на примерах рассмотрим решение логарифмических задач разного типа.

Как использовать формулы логарифмов: с примерами и решениями
Итак, рассмотрим примеры использования основных теорем о логарифмах.
- Свойство логарифма произведения можно применять в заданиях, где необходимо разложить большое значение числа b на более простые сомножители. Например, log 2 4 + log 2 128 = log 2 (4*128) = log 2 512. Ответ равен 9.
- log 4 8 = log 2 2 2 3 = 3/2 log 2 2 = 1,5 — как видите, применяя четвертое свойство степени логарифма, удалось решить на первый взгляд сложное и нерешаемое выражение. Необходимо всего лишь разложить основание на множители и затем вынести значения степени из знака логарифма.

Задания из ЕГЭ
Логарифмы часто встречаются на вступительных экзаменах, особенно много логарифмических задач в ЕГЭ (государственный экзамен для всех выпускников школ). Обычно эти задания присутствуют не только в части А (самая легкая тестовая часть экзамена), но и в части С (самые сложные и объемные задания). Экзамен подразумевает точное и идеальное знание темы «Натуральные логарифмы».
Примеры и решения задач взяты из официальных вариантов ЕГЭ. Давайте посмотрим, как решаются такие задания.
Дано log 2 (2x-1) = 4. Решение:перепишем выражение, немного его упростив log 2 (2x-1) = 2 2 , по определению логарифма получим, что 2x-1 = 2 4 , следовательно 2x = 17; x = 8,5.
- Все логарифмы лучше всего приводить к одному основанию, чтобы решение не было громоздким и запутанным.
- Все выражение, стоящие под знаком логарифма, указываются как положительные, поэтому при вынесении множителем показателя степени выражения, который стоит под знаком логарифма и в качестве его основания, остающееся под логарифмом выражение должно быть положительно.
Что такое логарифм?
Внимание! К этой теме имеются дополнительные материалы в Особом разделе 555. Для тех, кто сильно «не очень…» И для тех, кто «очень даже…»)
Что такое логарифм? Как решать логарифмы? Эти вопросы многих выпускников вводят в ступор. Традиционно тема логарифмов считается сложной, непонятной и страшной. Особенно — уравнения с логарифмами.
Это абсолютно не так. Абсолютно! Не верите? Хорошо. Сейчас, за какие-то 10 — 20 минут вы:
1. Поймете, что такое логарифм.
2. Научитесь решать целый класс показательных уравнений. Даже если ничего о них не слышали.
3. Научитесь вычислять простые логарифмы.
Причём для этого вам нужно будет знать только таблицу умножения, да как возводится число в степень…
Чувствую, сомневаетесь вы… Ну ладно, засекайте время! Поехали!
Для начала решите в уме вот такое уравнение:
Если Вам нравится этот сайт…
Кстати, у меня есть ещё парочка интересных сайтов для Вас.)
Можно потренироваться в решении примеров и узнать свой уровень. Тестирование с мгновенной проверкой. Учимся — с интересом!)
можно познакомиться с функциями и производными.
Вытекают из его определения. И так логарифм числа b по основанию аопределяется как показатель степени, в которую надо возвести число a, чтобы получить число b (логарифм существует только у положительных чисел).
Из данной формулировки следует, что вычисление x=log a b, равнозначно решению уравнения a x =b. Например, log 2 8 = 3потому, что 8 = 2 3. Формулировка логарифма дает возможность обосновать, что если b=a с, то логарифм числа b по основанию a равен с. Также ясно, что тема логарифмирования тесно взаимосвязана с темой степени числа .
С логарифмами, как и с любыми числами, можно выполнять операции сложения , вычитания и всячески трансформировать. Но ввиду того, что логарифмы — это не совсем ординарные числа, здесь применимы свои особенные правила, которые называются основными свойствами.
Сложение и вычитание логарифмов.
Возьмем два логарифма с одинаковыми основаниями: log a x и log a y. Тогда сними возможно выполнять операции сложения и вычитания:
log a x+ log a y= log a (x·y);
log a x — log a y = log a (x:y).
log a(x 1.x 2.x 3…x k) =log a x 1+log a x 2+log a x 3+ … +log a x k.
Из теоремы логарифма частногоможно получить еще одно свойство логарифма. Общеизвестно, что log a1= 0, следовательно,
log a 1 / b= log a1 — log a b= — log a b.
А значит имеет место равенство:
log a 1 / b = — log a b.
Логарифмы двух взаимно обратных чиселпо одному и тому же основанию будут различны друг от друга исключительно знаком. Так:
Log 3 9= — log 3 1 / 9 ; log 5 1 / 125 = -log 5 125.
