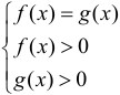
Определение логарифмапроще всего записать математически:
Определение логарифма можно записать и другим способом:
Обратите внимание на ограничения которые накладываются на основание логарифма (a) и на подлогарифмическое выражение (x). В дальнейшем эти условия превратятся в важные ограничения для ОДЗ, которые нужно будет учитывать при решении любого уравнения с логарифмами. Итак, теперь кроме стандартных условий приводящих к ограничениям на ОДЗ (положительность выражений под корнями четных степеней, не равенство знаменателя нолю и т.д.) нужно учитывать еще и следующие условия:
- Подлогарифмическое выражение может быть только положительным.
- Основание логарифма может быть только положительным и не равным единице.
Обратите внимание, что ни основание логарифма, ни подлогарифмическое выражение не могут быть равными нолю. Обратите также внимание и на то, что само значение логарифма может принимать все возможные значения, т.е. логарифм может быть положительным, отрицательным и равным нолю. У логарифмов есть очень много различных свойств, которые следуют из свойств степеней и определения логарифма. Перечислим их. Итак, свойства логарифмов:

Логарифм произведения:
Логарифм дроби:

Вынесение степени за знак логарифма:
Обратите особо пристальное внимание на те из последних перечисленных свойств, в которых появляется знак модуля после вынесения степени. Не забывайте, что при вынесении четной степени за знак логарифма, под логарифмом или в основании нужно оставить знак модуля.
Другие полезные свойства логарифмов:

![]()
Последнее свойство очень часто применяется в сложных логарифмических уравнениях и неравенствах. Его нужно помнить также хорошо, как и все остальные, хотя о нём часто забывают.
Самые простые логарифмические уравнения имеют вид:
![]()
А их решение задаётся формулой, которая напрямую следует из определения логарифма:
Другие простейшие логарифмические уравнения, это такие, которые с помощью алгебраических преобразований и приведённых выше формул и свойств логарифмов можно свести к виду:
Решение таких уравнений с учетом ОДЗ выглядит следующим образом:

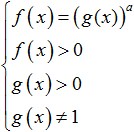
Некоторые другие логарифмические уравнения с переменной в основании могут быть сведены к виду:
![]()
В таких логарифмических уравнениях общий вид решения также напрямую следует из определения логарифма. Только в этом случае имеются дополнительные ограничения для ОДЗ, которые нужно учесть. В итоге, для решения логарифмического уравнения с переменной в основании нужно решать следующую систему:

При решении более сложных логарифмических уравнений, которые нельзя свести к одному из представленных выше уравнений, также активно применяется метод замены переменных. Как обычно, применяя этот метод нужно помнить, что после введения замены уравнение должно упроститься и больше не содержать старой неизвестной. Также нужно не забывать выполнять обратную замену переменных.
Иногда при решении логарифмических уравнений приходится также использовать графический метод. Данный метод состоит в том, чтобы как можно более точно построить на одной координатной плоскости графики функций, которые стоят в левой и правой частях уравнения, а затем найти координаты точек их пересечения по чертежу. Полученные таким образом корни обязательно нужно проверить подстановкой в первоначальное уравнение.
При решении логарифмических уравнений часто также бывает полезен метод группировки. При использовании этого метода главное помнить, что: для того чтобы произведение нескольких множителей было равно нолю, необходимо, чтобы хотя бы один их них равнялся нолю, а остальные существовали. Когда множителями являются логарифмы или скобки с логарифмами, а не просто скобки с переменными как в рациональных уравнениях, то может возникнуть много ошибок. Так как у логарифмов есть много ограничений на ту область, где они существуют.
При решении систем логарифмических уравнений чаще всего приходится использовать либо метод подстановки, либо метод замены переменных. Если есть такая возможность, то при решении систем логарифмических уравнений нужно стремиться к тому, чтобы каждое из уравнений системы по-отдельности привести к такому виду, при котором можно будет осуществить переход от логарифмического уравнения к рациональному.
Простейшие логарифмические неравенства решаются примерно также как и аналогичные уравнения. Сначала, с помощью алгебраических преобразований и свойств логарифмов, их нужно постараться привести к такому виду, где у логарифмов в левой и правой части неравенства будут одинаковые основания, т.е. получить неравенство вида:
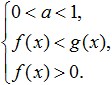
После чего нужно перейти к рациональному неравенству, учитывая, что этот переход должен быть выполнен следующим образом: если основание логарифма больше единицы, то знак неравенства менять не нужно, а если основание логарифма меньше единицы, то нужно поменять знак неравенства на противоположный (это значит поменять «меньше» на «больше» или наоборот). При этом знаки минус на плюс, в обход ранее изученных правил нигде менять не нужно. Запишем математически то, что получим в результате выполнения такого перехода. В случае если основание больше единицы получим:

В случае если основание логарифма меньше единицы поменяем знак неравенства и получим следующую систему:

Как видим при решении логарифмических неравенств как обычно учитывается также и ОДЗ (это третье условие в системах выше). Причем в этом случае есть возможность не требовать положительности обоих подлогарифмических выражений, а достаточно потребовать положительности только меньшего из них.
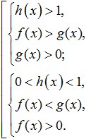
При решении логарифмических неравенств с переменной в основании логарифма необходимо самостоятельно рассматривать оба варианта (когда основание меньше единицы, и больше единицы) и объединять решения этих случаев в совокупность. При этом нужно не забывать и про ОДЗ, т.е. про то, что и основание и все подлогарифмические выражение должны быть положительными. Таким образом, при решении неравенства вида:
Получим следующую совокупность систем:

Более сложные логарифмические неравенства могут также решаться с помощью замены переменных. Некоторые другие логарифмические неравенства (как и логарифмические уравнения) для решения требуют проведения процедуры логарифмирования обоих частей неравенства или уравнения по одинаковому основанию. Так вот при проведении такой процедуры с логарифмическим неравенствами имеется тонкость. Обратите внимание, что при логарифмировании по основанию большему единицы, знак неравенства не изменяется, а если основание меньше единицы, то знак неравенства изменяется на противоположный.
Если логарифмическое неравенство не может быть сведено к рациональному или решено с помощью замены, то в этом случае нужно применять обобщенный метод интервалов, который состоит в следующем:
- Определите ОДЗ;
- Преобразуйте неравенство так, чтобы в правой части был ноль (в левой части, если это возможно, приведите к общему знаменателю, разложите на множители и т.д.);
- Найдите все корни числителя и знаменателя и нанесите их на числовую ось, причём, если неравенство нестрогое, закрасьте корни числителя, ну а корни знаменателя в любом случае оставьте выколотыми точками;
- Найдите знак всего выражения на каждом из интервалов, подставляя в преобразованное неравенство число из данного интервала. При этом уже больше нельзя никаким образом чередовать знаки переходя через точки на оси. Определять знак выражения на каждом интервале нужно именно подстановкой значения из интервала в это выражение, и так для каждого интервала. Больше никак нельзя (в этом то и состоит, по большому счету, отличие обобщенного метода интервалов от обычного);
- Найдите пересечение ОДЗ и удовлетворяющих неравенству промежутков, при этом не потеряйте отдельные точки, удовлетворяющие неравенству (корни числителя в нестрогих неравенствах), и не забудьте исключить из ответа все корни знаменателя во всех неравенствах.
- Назад
- Вперёд
Как успешно подготовиться к ЦТ по физике и математике?
Для того чтобы успешно подготовиться к ЦТ по физике и математике, среди прочего, необходимо выполнить три важнейших условия:
- Изучить все темы и выполнить все тесты и задания приведенные в учебных материалах на этом сайте. Для этого нужно всего ничего, а именно: посвящать подготовке к ЦТ по физике и математике, изучению теории и решению задач по три-четыре часа каждый день. Дело в том, что ЦТ это экзамен где мало просто знать физику или математику, нужно еще уметь быстро и без сбоев решать большое количество задач по разным темам и различной сложности. Последнему научиться можно только решив тысячи задач.
- Выучить все формулы и законы в физике, и формулы и методы в математике . На самом деле, выполнить это тоже очень просто, необходимых формул по физике всего около 200 штук, а по математике даже чуть меньше. В каждом из этих предметов есть около десятка стандартных методов решения задач базового уровня сложности, которые тоже вполне можно выучить, и таким образом, совершенно на автомате и без затруднений решить в нужный момент большую часть ЦТ. После этого Вам останется подумать только над самыми сложными задачами.
- Посетить все три этапа репетиционного тестирования по физике и математике. Каждый РТ можно посещать по два раза, чтобы прорешать оба варианта. Опять же на ЦТ, кроме умения быстро и качественно решать задачи, и знания формул и методов необходимо также уметь правильно спланировать время, распределить силы, а главное правильно заполнить бланк ответов, не перепутав ни номера ответов и задач, ни собственную фамилию. Также в ходе РТ важно привыкнуть к стилю постановки вопросов в задачах, который на ЦТ может показаться неподготовленному человеку очень непривычным.
Успешное, старательное и ответственное выполнение этих трех пунктов позволит Вам показать на ЦТ отличный результат, максимальный из того на что Вы способны.
Нашли ошибку?
Если Вы, как Вам кажется, нашли ошибку в учебных материалах, то напишите, пожалуйста, о ней на почту. Написать об ошибке можно также в социальной сети (). В письме укажите предмет (физика или математика), название либо номер темы или теста, номер задачи, или место в тексте (страницу) где по Вашему мнению есть ошибка. Также опишите в чем заключается предположительная ошибка. Ваше письмо не останется незамеченным, ошибка либо будет исправлена, либо Вам разъяснят почему это не ошибка.
Неравенство называется логарифмическим, если в нём содержится логарифмическая функция.
Методы решения логарифмических неравенств не отличаются от , за исключением двух вещей.
Во-первых, при переходе от логарифмического неравенства к неравенству подлогарифмических функций следует следить за знаком получающегося неравенства. Он подчиняется следующему правилу.
Если основание логарифмической функции больше $1$, то при переходе от логарифмического неравенства к неравенству подлогарифмических функций знак неравенства сохраняется, а если же меньше $1$, то меняется на противоположный.
Во-вторых, решение любого неравенства – промежуток, а, значит, в конце решения неравенства подлогарифмических функций необходимо составить систему из двух неравенств: первым неравенством этой системы будет неравенство подлогарифмических функций, а вторым – промежуток области определения логарифмических функций, входящих в логарифмическое неравенство.
Практика.
Решим неравенства:
1.$log_{2}{(x+3)} geq 3.$
$D(y): x+3>0.$
$x in (-3;+infty)$
Основание логарифма равно $2>1$, поэтому знак не меняется. Пользуясь определением логарифма, получим:
$x+3 geq 2^{3},$
$x in }
