В пятом веке до нашей эры древнегреческий философ Зенон Элейский сформулировал свои знаменитые апории, самой известной из которых является апория «Ахиллес и черепаха». Вот как она звучит:
Допустим, Ахиллес бежит в десять раз быстрее, чем черепаха, и находится позади неё на расстоянии в тысячу шагов. За то время, за которое Ахиллес пробежит это расстояние, черепаха в ту же сторону проползёт сто шагов. Когда Ахиллес пробежит сто шагов, черепаха проползёт ещё десять шагов, и так далее. Процесс будет продолжаться до бесконечности, Ахиллес так никогда и не догонит черепаху.
Это рассуждение стало логическим шоком для всех последующих поколений. Аристотель, Диоген, Кант, Гегель, Гильберт… Все они так или иначе рассматривали апории Зенона. Шок оказался настолько сильным, что «… дискуссии продолжаются и в настоящее время, прийти к общему мнению о сущности парадоксов научному сообществу пока не удалось… к исследованию вопроса привлекались математический анализ, теория множеств, новые физические и философские подходы; ни один из них не стал общепризнанным решением вопроса…» [Википедия, » Апории Зенона «]. Все понимают, что их дурят, но никто не понимает, в чем заключается обман.
С точки зрения математики, Зенон в своей апории наглядно продемонстрировал переход от величины к . Этот переход подразумевает применение вместо постоянных. Насколько я понимаю, математический аппарат применения переменных единиц измерения либо ещё не разработан, либо его не применяли к апории Зенона. Применение же нашей обычной логики приводит нас в ловушку. Мы, по инерции мышления, применяем постоянные единицы измерения времени к обратной величине. С физической точки зрения это выглядит, как замедление времени до его полной остановки в момент, когда Ахиллес поравняется с черепахой. Если время останавливается, Ахиллес уже не может перегнать черепаху.
Если перевернуть привычную нам логику, всё становится на свои места. Ахиллес бежит с постоянной скоростью. Каждый последующий отрезок его пути в десять раз короче предыдущего. Соответственно, и время, затрачиваемое на его преодоление, в десять раз меньше предыдущего. Если применять понятие «бесконечность» в этой ситуации, то правильно будет говорить «Ахиллес бесконечно быстро догонит черепаху».
Как избежать этой логической ловушки? Оставаться в постоянных единицах измерения времени и не переходить к обратным величинам. На языке Зенона это выглядит так:
За то время, за которое Ахиллес пробежит тысячу шагов, черепаха в ту же сторону проползёт сто шагов. За следующий интервал времени, равный первому, Ахиллес пробежит ещё тысячу шагов, а черепаха проползет сто шагов. Теперь Ахиллес на восемьсот шагов опережает черепаху.
Этот подход адекватно описывает реальность без всяких логических парадоксов. Но это не полное решение проблемы. На Зеноновскую апорию «Ахиллес и черепаха» очень похоже утверждение Эйнштейна о непреодолимости скорости света. Эту проблему нам ещё предстоит изучить, переосмыслить и решить. И решение нужно искать не в бесконечно больших числах, а в единицах измерения.
Другая интересная апория Зенона повествует о летящей стреле:
Летящая стрела неподвижна, так как в каждый момент времени она покоится, а поскольку она покоится в каждый момент времени, то она покоится всегда.
В этой апории логический парадокс преодолевается очень просто — достаточно уточнить, что в каждый момент времени летящая стрела покоится в разных точках пространства, что, собственно, и является движением. Здесь нужно отметить другой момент. По одной фотографии автомобиля на дороге невозможно определить ни факт его движения, ни расстояние до него. Для определения факта движения автомобиля нужны две фотографии, сделанные из одной точки в разные моменты времени, но по ним нельзя определить расстояние. Для определения расстояния до автомобиля нужны две фотографии, сделанные из разных точек пространства в один момент времени, но по ним нельзя определить факт движения (естественно, ещё нужны дополнительные данные для расчетов, тригонометрия вам в помощь). На что я хочу обратить особое внимание, так это на то, что две точки во времени и две точки в пространстве — это разные вещи, которые не стоит путать, ведь они предоставляют разные возможности для исследования.
среда, 4 июля 2018 г.
Очень хорошо различия между множеством и мультимножеством описаны в Википедии . Смотрим.
Как видите, «во множестве не может быть двух идентичных элементов», но если идентичные элементы во множестве есть, такое множество называется «мультимножество». Подобную логику абсурда разумным существам не понять никогда. Это уровень говорящих попугаев и дрессированных обезьян, у которых разум отсутствует от слова «совсем». Математики выступают в роли обычных дрессировщиков, проповедуя нам свои абсурдные идеи.
Когда-то инженеры, построившие мост, во время испытаний моста находились в лодке под мостом. Если мост обрушивался, бездарный инженер погибал под обломками своего творения. Если мост выдерживал нагрузку, талантливый инженер строил другие мосты.
Как бы математики не прятались за фразой «чур, я в домике», точнее «математика изучает абстрактные понятия», есть одна пуповина, которая неразрывно связывает их с реальностью. Этой пуповиной являются деньги. Применим математическую теорию множеств к самим математикам.
Мы очень хорошо учили математику и сейчас сидим в кассе, выдаем зарплату. Вот приходит к нам математик за своими деньгами. Отсчитываем ему всю сумму и раскладываем у себя на столе на разные стопки, в которые складываем купюры одного достоинства. Затем берем с каждой стопки по одной купюре и вручаем математику его «математическое множество зарплаты». Поясняем математику, что остальные купюры он получит только тогда, когда докажет, что множество без одинаковых элементов не равно множеству с одинаковыми элементами. Вот здесь начнется самое интересное.
В первую очередь, сработает логика депутатов: «к другим это применять можно, ко мне — низьзя!». Дальше начнутся уверения нас в том, что на купюрах одинакового достоинства имеются разные номера купюр, а значит их нельзя считать одинаковыми элементами. Хорошо, отсчитываем зарплату монетами — на монетах нет номеров. Здесь математик начнет судорожно вспоминать физику: на разных монетах имеется разное количество грязи, кристаллическая структура и расположение атомов у каждой монеты уникально…
А теперь у меня самый интересный вопрос: где проходит та грань, за которой элементы мультимножества превращаются в элементы множества и наоборот? Такой грани не существует — всё решают шаманы, наука здесь и близко не валялась.
Вот смотрите. Мы отбираем футбольные стадионы с одинаковой площадью поля. Площадь полей одинакова — значит у нас получилось мультимножество. Но если рассматривать названия этих же стадионов — у нас получается множество, ведь названия разные. Как видите, один и тот же набор элементов одновременно является и множеством, и мультимножеством. Как правильно? А вот здесь математик-шаман-шуллер достает из рукава козырный туз и начинает нам рассказывать либо о множестве, либо о мультимножестве. В любом случае он убедит нас в своей правоте.
Чтобы понять, как современные шаманы оперируют теорией множеств, привязывая её к реальности, достаточно ответить на один вопрос: чем элементы одного множества отличаются от элементов другого множества? Я вам покажу, без всяких «мыслимое как не единое целое» или «не мыслимое как единое целое».
воскресенье, 18 марта 2018 г.
Сумма цифр числа — это пляска шаманов с бубном, которая к математике никакого отношения не имеет. Да, на уроках математики нас учат находить сумму цифр числа и пользоваться нею, но на то они и шаманы, чтобы обучать потомков своим навыкам и премудростям, иначе шаманы просто вымрут.
Вам нужны доказательства? Откройте Википедию и попробуйте найти страницу «Сумма цифр числа». Её не существует. Нет в математике формулы, по которой можно найти сумму цифр любого числа. Ведь цифры — это графические символы, при помощи которых мы записываем числа и на языке математики задача звучит так: «Найти сумму графических символов, изображающих любое число». Математики эту задачу решить не могут, а вот шаманы — элементарно.
Давайте разберемся, что и как мы делаем для того, чтобы найти сумму цифр заданного числа. И так, пусть у нас есть число 12345. Что нужно сделать для того, чтобы найти сумму цифр этого числа? Рассмотрим все шаги по порядку.
1. Записываем число на бумажке. Что же мы сделали? Мы преобразовали число в графический символ числа. Это не математическое действие.
2. Разрезаем одну полученную картинку на несколько картинок, содержащих отдельные цифры. Разрезание картинки — это не математическое действие.
3. Преобразовываем отдельные графические символы в числа. Это не математическое действие.
4. Складываем полученные числа. Вот это уже математика.
Сумма цифр числа 12345 равна 15. Вот такие вот «курсы кройки и шитья» от шаманов применяют математики. Но это ещё не всё.
С точки зрения математики не имеет значения, в какой системе счисления мы записываем число. Так вот, в разных системах счисления сумма цифр одного и того же числа будет разной. В математике система счисления указывается в виде нижнего индекса справа от числа. С большим числом 12345 я не хочу голову морочить, рассмотрим число 26 из статьи про . Запишем это число в двоичной, восьмеричной, десятичной и шестнадцатеричной системах счисления. Мы не будем рассматривать каждый шаг под микроскопом, это мы уже сделали. Посмотрим на результат.
Как видите, в разных системах счисления сумма цифр одного и того же числа получается разной. Подобный результат к математике никакого отношения не имеет. Это всё равно, что при определении площади прямоугольника в метрах и сантиметрах вы получали бы совершенно разные результаты.
Ноль во всех системах счисления выглядит одинаково и суммы цифр не имеет. Это ещё один аргумент в пользу того, что . Вопрос к математикам: как в математике обозначается то, что не является числом? Что, для математиков ничего, кроме чисел, не существует? Для шаманов я могу такое допустить, но для ученых — нет. Реальность состоит не только из чисел.
Полученный результат следует рассматривать как доказательство того, что системы счисления являются единицами измерения чисел. Ведь мы не можем сравнивать числа с разными единицами измерения. Если одни и те же действия с разными единицами измерения одной и той же величины приводят к разным результатам после их сравнения, значит это не имеет ничего общего с математикой.
Что же такое настоящая математика? Это когда результат математического действия не зависит от величины числа, применяемой единицы измерения и от того, кто это действие выполняет.
Табличка на двериОткрывает дверь и говорит:
Ой! А это разве не женский туалет?- Девушка! Это лаборатория по изучению индефильной святости душ при вознесении на небеса! Нимб сверху и стрелочка вверх. Какой еще туалет?
Женский… Нимб сверху и стрелочка вниз — это мужской.
Если у вас перед глазами несколько раз в день мелькает вот такое вот произведение дизайнерского искусства,
Тогда не удивительно, что в своем автомобиле вы вдруг обнаруживаете странный значок:
Лично я делаю над собой усилие, чтобы в какающем человеке (одна картинка), увидеть минус четыре градуса (композиция из нескольких картинок: знак минус, цифра четыре, обозначение градусов). И я не считаю эту девушку дурой, не знающей физику. Просто у неё дугой стереотип восприятия графических образов. И математики нас этому постоянно учат. Вот пример.
1А — это не «минус четыре градуса» или «один а». Это «какающий человек» или число «двадцать шесть» в шестнадцатеричной системе счисления. Те люди, которые постоянно работают в этой системе счисления, автоматически воспринимают цифру и букву как один графический символ.
Еще одно действие, которое можно выполнять с обыкновенными дробями, – умножение. Мы попробуем разъяснить его основные правила при решении задач, покажем, как умножается обыкновенная дробь на натуральное число и как правильно выполнить умножение трех обыкновенных дробей и больше.
Запишем сначала основное правило:
Определение 1
Если мы умножим одну обыкновенную дробь, то числитель дроби, полученной в результате, будет равен произведению числителей исходных дробей, а знаменатель – произведению их знаменателей. В буквенном виде для двух дробей a / b и c / d это можно выразить как a b · c d = a · c b · d .
Посмотрим на примере, как правильно применить это правило. Допустим, у нас есть квадрат, сторона которого равна одной числовой единице. Тогда площадь фигуры составит 1 кв. единицу. Если разделить квадрат на равные прямоугольники со сторонами, равными 1 4 и 1 8 числовой единицы, у нас получится, что он теперь состоит из 32 прямоугольников (потому что 8 · 4 = 32). Соответственно, площадь каждого из них будет равна 1 32 от площади всей фигуры, т.е. 1 32 кв. единицы.
У нас получился закрашенный фрагмент со сторонами, равными 5 8 числовой единицы и 3 4 числовой единицы. Соответственно, для вычисления его площади надо умножить первую дробь на вторую. Она будет равна 5 8 · 3 4 кв. единиц. Но мы можем просто подсчитать, сколько прямоугольников входит во фрагмент: их 15 , значит, общая площадь составляет 15 32 квадратных единиц.
Поскольку 5 · 3 = 15 и 8 · 4 = 32 , мы можем записать следующее равенство:
5 8 · 3 4 = 5 · 3 8 · 4 = 15 32
Оно является подтверждением сформулированного нами правила умножения обыкновенных дробей, которое выражается как a b · c d = a · c b · d . Оно действует одинаково как для правильных, так и для неправильных дробей; с помощью него можно умножить дроби и с разными, и с одинаковыми знаменателями.
Разберем решения нескольких задач на умножение обыкновенных дробей.
Пример 1
Умножьте 7 11 на 9 8 .
Решение
Для начала подсчитаем произведение числителей указанных дробей, умножив 7 на 9 . У нас получилось 63 . Затем вычислим произведение знаменателей и получим: 11 · 8 = 88 . Составим их двух чисел ответ: 63 88 .
Все решение можно записать так:
7 11 · 9 8 = 7 · 9 11 · 8 = 63 88
Ответ: 7 11 · 9 8 = 63 88 .
Если в ответе у нас получилась сократимая дробь, нужно довести вычисление до конца и выполнить ее сокращение. Если же у нас получилась неправильная дробь, из нее надо выделить целую часть.
Пример 2
Вычислите произведение дробей 4 15 и 55 6 .
Решение
Cогласно изученному выше правилу, нам надо умножить числитель на числитель, а знаменатель на знаменатель. Запись решения будет выглядеть так:
4 15 · 55 6 = 4 · 55 15 · 6 = 220 90
Мы получили сократимую дробь, т.е. такую, у которой есть признак делимости на 10 .
Выполним сокращение дроби: 220 90 НОД (220 , 90) = 10 , 220 90 = 220: 10 90: 10 = 22 9 . В итоге у нас получилась неправильная дробь, из которой мы выделим целую часть и получим смешанное число: 22 9 = 2 4 9 .
Ответ: 4 15 · 55 6 = 2 4 9 .
Для удобства вычисления мы можем сократить и исходные дроби перед выполнением действия умножения, для чего нам надо привести дробь к виду a · c b · d . Разложим значения переменных на простые множители и одинаковые из них сократим.
Поясним, как это выглядит, используя данные конкретной задачи.
Пример 3
Вычислите произведение 4 15 · 55 6 .
Решение
Запишем вычисления, исходя из правила умножения. У нас получится:
4 15 · 55 6 = 4 · 55 15 · 6
Поскольку как 4 = 2 · 2 , 55 = 5 · 11 , 15 = 3 · 5 и 6 = 2 · 3 , значит, 4 · 55 15 · 6 = 2 · 2 · 5 · 11 3 · 5 · 2 · 3 .
2 · 11 3 · 3 = 22 9 = 2 4 9
Ответ: 4 15 · 55 6 = 2 4 9 .
Числовое выражение, в котором имеет место умножение обыкновенных дробей, обладает переместительным свойством, то есть при необходимости мы можем изменить порядок следования множителей:
a b · c d = c d · a b = a · c b · d
Как перемножить обыкновенную дробь с натуральным числом
Запишем сразу основное правило, а потом попробуем объяснить его на практике.
Определение 2
Чтобы умножить обыкновенную дробь на натуральное число, нужно умножить числитель этой дроби на это число. При этом знаменатель итоговой дроби будет равен знаменателю исходной обыкновенной дроби. Умножение некоторой дроби a b на натуральное число n можно записать в виде формулы a b · n = a · n b .
Понять эту формулу легко, если вспомнить, что любое натуральное число может быть представлено в виде обыкновенной дроби со знаменателем, равным единице, то есть:
a b · n = a b · n 1 = a · n b · 1 = a · n b
Поясним нашу мысль конкретными примерами.
Пример 4
Вычислите произведение 2 27 на 5 .
Решение
В результате умножения числителя исходной дроби на второй множитель получим 10 . В силу правила, указанного выше, мы получим в результате 10 27 . Все решение приведено в этой записи:
2 27 · 5 = 2 · 5 27 = 10 27
Ответ: 2 27 · 5 = 10 27
Когда мы перемножаем натуральное число с обыкновенной дробью, то часто приходится сокращать результат или представлять его как смешанное число.
Пример 5
Условие: вычислите произведение 8 на 5 12 .
Решение
По правилу выше мы умножаем натуральное число на числитель. В итоге получаем, что 5 12 · 8 = 5 · 8 12 = 40 12 . Итоговая дробь имеет признаки делимости на 2 , поэтому нам нужно выполнить ее сокращение:
НОК (40 , 12) = 4 , значит, 40 12 = 40: 4 12: 4 = 10 3
Теперь нам осталось только выделить целую часть и записать готовый ответ: 10 3 = 3 1 3 .
В этой записи можно видеть все решение целиком: 5 12 · 8 = 5 · 8 12 = 40 12 = 10 3 = 3 1 3 .
Также мы могли сократить дробь с помощью разложения числителя и знаменателя на простые множители, и результат получился бы точно таким же.
Ответ: 5 12 · 8 = 3 1 3 .
Числовое выражение, в котором натуральное число умножается на дробь, также обладает свойством перемещения, то есть порядок расположения множителей не влияет на результат:
a b · n = n · a b = a · n b
Как выполнить умножение трех и более обыкновенных дробей
Мы можем распространить на действие умножения обыкновенных дробей те же свойства, которые характерны для умножения натуральных чисел. Это следует из самого определения данных понятий.
Благодаря знанию сочетательного и переместительного свойства можно перемножать три обыкновенные дроби и более. Допустимо переставлять множители местами для большего удобства или расставлять скобки так, как будет легче считать.
Покажем на примере, как это делается.
Пример 6
Умножьте четыре обыкновенные дроби 1 20 , 12 5 , 3 7 и 5 8 .
Решение: для начала сделаем запись произведения. У нас получится 1 20 · 12 5 · 3 7 · 5 8 . Нам надо перемножить между собой все числители и все знаменатели: 1 20 · 12 5 · 3 7 · 5 8 = 1 · 12 · 3 · 5 20 · 5 · 7 · 8 .
Перед тем, как начать умножение, мы можем немного облегчить себе задачу и разложить некоторые числа на простые множители для дальнейшего сокращения. Это будет проще, чем сокращать уже готовую дробь, получившуюся в результате.
1 · 12 · 3 · 5 20 · 5 · 7 · 8 = 1 · (2 · 2 · 3) · 3 · 5 2 · 2 · 5 · 5 · 7 (2 · 2 · 2) = 3 · 3 5 · 7 · 2 · 2 · 2 = 9 280
Ответ: 1 · 12 · 3 · 5 20 · 5 · 7 · 8 = 9 280 .
Пример 7
Перемножьте 5 чисел 7 8 · 12 · 8 · 5 36 · 10 .
Решение
Для удобства мы можем сгруппировать дробь 7 8 с числом 8 , а число 12 с дробью 5 36 , поскольку при этом нам будут очевидны будущие сокращения. В итоге у нас получится: 7 8 · 12 · 8 · 5 36 · 10 = 7 8 · 8 · 12 · 5 36 · 10 = 7 · 8 8 · 12 · 5 36 · 10 = 7 1 · 2 · 2 · 3 · 5 2 · 2 · 3 · 3 · 10 = = 7 · 5 3 · 10 = 7 · 5 · 10 3 = 350 3 = 116 2 3
Ответ: 7 8 · 12 · 8 · 5 36 · 10 = 116 2 3 .
Если вы заметили ошибку в тексте, пожалуйста, выделите её и нажмите Ctrl+Enter
Умножение обыкновенных дробей рассмотрим в нескольких возможных вариантах.
Умножение обыкновенной дроби на дробь
Это наиболее простой случай, в котором нужно пользоваться следующими правилами умножения дробей.
Чтобы умножить дробь на дробь, надо:
- числитель первой дроби умножить на числитель второй дроби и их произведение записать в числитель новой дроби;
- знаменатель первой дроби умножить на знаменатель второй дроби и их произведение записать в знаменатель новой дроби;
- Сложение дробей с одинаковыми знаменателями
- Сложение дробей с разными знаменателями
Прежде чем перемножать числители и знаменатели проверьте нельзя ли сократить дроби. Сокращение дробей при расчётах значительно облегчит ваши вычисления.

Умножение дроби на натуральное число
Чтобы дробь умножить на натуральное число нужно числитель дроби умножить на это число, а знаменатель дроби оставить без изменения.
Если в результате умножения получилась неправильная дробь, не забудьте превратить её в смешанное число, то есть выделить целую часть.

Умножение смешанных чисел
Чтобы перемножить смешанные числа, надо вначале превратить их в неправильные дроби и после этого умножить по правилу умножения обыкновенных дробей.

Другой способ умножения дроби на натуральное число
Иногда при расчётах удобнее воспользоваться другим способом умножения обыкновенной дроби на число.
Чтобы умножить дробь на натуральное число нужно знаменатель дроби разделить на это число, а числитель оставить прежним.

Как видно из примера, этим вариантом правила удобнее пользоваться, если знаменатель дроби делится без остатка на натуральное число.
Действия с дробями
Сложение дробей с одинаковыми знаменателями
Сложение дробей бывает двух видов:
Сначала изучим сложение дробей с одинаковыми знаменателями. Тут всё просто. Чтобы сложить дроби с одинаковыми знаменателями, нужно сложить их числители, а знаменатель оставить без изменения. Например, сложим дроби и . Складываем числители, а знаменатель оставляем без изменения:

Этот пример можно легко понять, если вспомнить про пиццу, которая разделена на четыре части. Если к пиццы прибавить пиццы, то получится пиццы:
Пример 2. Сложить дроби и .
Опять же складываем числители, а знаменатель оставляем без изменения:

В ответе получилась неправильная дробь . Если наступает конец задачи, то от неправильных дробей принято избавляться. Чтобы избавится от неправильной дроби, нужно выделить в ней целую часть. В нашем случае целая часть выделяется легко — два разделить на два равно единице:

Этот пример можно легко понять, если вспомнить про пиццу, которая разделена на две части. Если к пиццы прибавить еще пиццы, то получится одна целая пицца:
Пример 3. Сложить дроби и .
![]()
Этот пример можно легко понять, если вспомнить про пиццу, которая разделена на три части. Если к пиццы прибавить ещё пиццы, то получится пиццы:
Пример 4. Найти значение выражения 
Этот пример решается точно также, как и предыдущие. Числители необходимо сложить, а знаменатель оставить без изменения:
Попробуем изобразить наше решение с помощью рисунка. Если к пиццы прибавить пиццы и ещё прибавить пиццы, то получится 1 целая и ещё пиццы.
Как видите в сложении дробей с одинаковыми знаменателями ничего сложного нет. Достаточно понимать следующие правила:
- Чтобы сложить дроби с одинаковыми знаменателя, нужно сложить их числители, а знаменатель оставить прежним;
- Если в ответе получилась неправильная дробь, то нужно выделить в ней целую часть.
- Найти НОК знаменателей дробей;
- Разделить НОК на знаменатель каждой дроби и получить дополнительный множитель для каждой дроби;
- Умножить числители и знаменатели дробей на свои дополнительные множители;
- Сложить дроби у которых одинаковые знаменатели;
- Если в ответе получилась неправильная дробь, то выделить её целую часть;
- Вычитание дробей с одинаковыми знаменателями
- Вычитание дробей с разными знаменателями
Сложение дробей с разными знаменателями
Теперь научимся складывать дроби с разными знаменателями. Когда складывают дроби, знаменатели этих дробей должны быть одинаковыми. Но одинаковыми они бывают не всегда.
Например, дроби и сложить можно, поскольку у них одинаковые знаменатели.
А вот дроби и сразу сложить нельзя, поскольку у этих дробей разные знаменатели. В таких случаях дроби нужно приводить к одинаковому (общему) знаменателю.
Существует несколько способов приведения дробей к одинаковому знаменателю. Сегодня мы рассмотрим только один из них, поскольку остальные способы могут показаться сложными для начинающего.
Суть этого способа заключается в том, что сначала ищется наименьшее общее кратное (НОК) знаменателей обеих дробей. Затем НОК делят на знаменатель первой дроби и получают первый дополнительный множитель. Аналогично поступают и со второй дробью — НОК делят на знаменатель второй дроби и получают второй дополнительный множитель.
Затем числители и знаменатели дробей умножаются на свои дополнительные множители. В результате этих действий, дроби у которых были разные знаменатели, обращаются в дроби, у которых одинаковые знаменатели. А как складывать такие дроби мы уже знаем.
Пример 1. Сложим дроби и
У этих дробей разные знаменатели, поэтому нужно привести их к одинаковому (общему) знаменателю.
В первую очередь находим наименьшее общее кратное знаменателей обеих дробей. Знаменатель первой дроби это число 3, а знаменатель второй дроби — число 2. Наименьшее общее кратное этих чисел равно 6
НОК (2 и 3) = 6
Теперь возвращаемся к дробям и . Сначала разделим НОК на знаменатель первой дроби и получим первый дополнительный множитель. НОК это число 6, а знаменатель первой дроби это число 3. Делим 6 на 3, получаем 2.
Полученное число 2 это первый дополнительный множитель. Записываем его к первой дроби. Для этого делаем небольшую косую линию над дробью и записываем над ней найденный дополнительный множитель:
Аналогично поступаем и со второй дробью. Делим НОК на знаменатель второй дроби и получаем второй дополнительный множитель. НОК это число 6, а знаменатель второй дроби — число 2. Делим 6 на 2, получаем 3.
Полученное число 3 это второй дополнительный множитель. Записываем его ко второй дроби. Опять же делаем небольшую косую линию над второй дробью и записываем над ней найденный дополнительный множитель:
Теперь у нас всё готово для сложения. Осталось умножить числители и знаменатели дробей на свои дополнительные множители:

Посмотрите внимательно к чему мы пришли. Мы пришли к тому, что дроби у которых были разные знаменатели, превратились в дроби у которых одинаковые знаменатели. А как складывать такие дроби мы уже знаем. Давайте дорешаем этот пример до конца:

Таким образом, пример завершается. К прибавить получается .
Попробуем изобразить наше решение с помощью рисунка. Если к пиццы прибавить пиццы, то получится одна целая пицца и еще одна шестая пиццы:
Приведение дробей к одинаковому (общему) знаменателю также можно изобразить с помощью рисунка. Приведя дроби и к общему знаменателю, мы получили дроби и . Эти две дроби будут изображаться теми же кусками пицц. Различие будет лишь в том, что в этот раз они будут разделены на одинаковые доли (приведены к одинаковому знаменателю).

Первый рисунок изображает дробь (четыре кусочка из шести), а второй рисунок изображает дробь (три кусочка из шести). Сложив эти кусочки мы получаем (семь кусочков из шести). Эта дробь неправильная, поэтому мы выделили в ней целую часть. В результате получили (одну целую пиццу и еще одну шестую пиццы).
Отметим, что мы с вами расписали данный пример слишком подробно. В учебных заведениях не принято писать так развёрнуто. Нужно уметь быстро находить НОК обоих знаменателей и дополнительные множители к ним, а также быстро умножать найденные дополнительные множители на свои числители и знаменатели. Находясь в школе, данный пример нам пришлось бы записать следующим образом:

Но есть и обратная сторона медали. Если на первых этапах изучения математики не делать подробных записей, то начинают появляться вопросы рода «а откуда вон та цифра?», «почему дроби вдруг превращаются совсем в другие дроби? «.
Чтобы легче было складывать дроби с разными знаменателями, можно воспользоваться следующей пошаговой инструкцией:
Пример 2. Найти значение выражения
.
Воспользуемся схемой, которую мы привели выше.
Шаг 1. Найти НОК для знаменателей дробей
Находим НОК для знаменателей обеих дробей. Знаменатели дробей это числа 2, 3 и 4. Нужно найти НОК для этих чисел:
Шаг 2. Разделить НОК на знаменатель каждой дроби и получить дополнительный множитель для каждой дроби
Делим НОК на знаменатель первой дроби. НОК это число 12, а знаменатель первой дроби это число 2. Делим 12 на 2, получаем 6. Получили первый дополнительный множитель 6. Записываем его над первой дробью:
Теперь делим НОК на знаменатель второй дроби. НОК это число 12, а знаменатель второй дроби это число 3. Делим 12 на 3, получаем 4. Получили второй дополнительный множитель 4. Записываем его над второй дробью:
Теперь делим НОК на знаменатель третьей дроби. НОК это число 12, а знаменатель третьей дроби это число 4. Делим 12 на 4, получаем 3. Получили третий дополнительный множитель 3. Записываем его над третьей дробью:
Шаг 3. Умножить числители и знаменатели дробей на свои дополнительные множители
Умножаем числители и знаменатели на свои дополнительные множители:
Шаг 4. Сложить дроби у которых одинаковые знаменатели
Мы пришли к тому, что дроби у которых были разные знаменатели, превратились в дроби у которых одинаковые (общие) знаменатели. Осталось сложить эти дроби. Складываем:

Сложение не поместилось на одной строке, поэтому мы перенесли оставшееся выражение на следующую строку. Это допускается в математике. Когда выражение не помещается на одну строку, его переносят на следующую строку, при этом надо обязательно поставить знак равенства (=) на конце первой строки и в начале новой строки. Знак равенства на второй строке говорит о том, что это продолжение выражения, которое было на первой строке.
Шаг 5. Если в ответе получилась неправильная дробь, то выделить её целую часть
У нас в ответе получилась неправильная дробь. Мы должны выделить у неё целую часть. Выделяем:

Получили ответ
Вычитание дробей с одинаковыми знаменателями
Вычитание дробей бывает двух видов:
Сначала изучим вычитание дробей с одинаковыми знаменателями. Тут всё просто. Чтобы вычесть из одной дроби другую, нужно из числителя первой дроби вычесть числитель второй дроби, а знаменатель оставить прежним.
Например, найдём значение выражения . Чтобы решить этот пример, надо из числителя первой дроби вычесть числитель второй дроби, а знаменатель оставить прежним. Так и сделаем:

Этот пример можно легко понять, если вспомнить про пиццу, которая разделена на четыре части. Если от пиццы отрезать пиццы, то получится пиццы:
Пример 2. Найти значение выражения .
Опять же из числителя первой дроби вычитаем числитель второй дроби, а знаменатель оставляем прежним:

Этот пример можно легко понять, если вспомнить про пиццу, которая разделена на три части. Если от пиццы отрезать пиццы, то получится пиццы:
Пример 3. Найти значение выражения 
Этот пример решается точно также, как и предыдущие. Из числителя первой дроби нужно вычесть числители остальных дробей:

В ответе получилась неправильная дробь. Если пример завершен, то от неправильной дроби принято избавляться. Давайте и мы избавимся от неправильной дроби в ответе. Для этого выделим ее целую часть:
Как видите в вычитании дробей с одинаковыми знаменателями ничего сложного нет. Достаточно понимать следующие правила:
Вычитание дробей с разными знаменателями
Например, от дроби можно вычесть дробь , поскольку у этих дробей одинаковые знаменатели. А вот от дроби нельзя вычесть дробь , поскольку у этих дробей разные знаменатели. В таких случаях дроби нужно приводить к одинаковому (общему) знаменателю.
Общий знаменатель находят по тому же принципу, которым мы пользовались при сложении дробей с разными знаменателями. В первую очередь находят НОК знаменателей обеих дробей. Затем НОК делят на знаменатель первой дроби и получают первый дополнительный множитель, который записывается над первой дробью. Аналогично НОК делят на знаменатель второй дроби и получают второй дополнительный множитель, который записывается над второй дробью.
Затем дроби умножаются на свои дополнительные множители. В результате этих операций, дроби у которых были разные знаменатели, обращаются в дроби, у которых одинаковые знаменатели. А как вычитать такие дроби мы уже знаем.
Пример 1. Найти значение выражения:
Сначала находим НОК знаменателей обеих дробей. Знаменатель первой дроби это число 3, а знаменатель второй дроби — число 4. Наименьшее общее кратное этих чисел равно 12
НОК (3 и 4) = 12
Теперь возвращаемся к дробям и
Найдём дополнительный множитель для первой дроби. Для этого разделим НОК на знаменатель первой дроби. НОК это число 12, а знаменатель первой дроби — число 3. Делим 12 на 3, получаем 4. Записываем четвёрку над первой дробью:
Аналогично поступаем и со второй дробью. Делим НОК на знаменатель второй дроби. НОК это число 12, а знаменатель второй дроби — число 4. Делим 12 на 4, получаем 3. Записываем тройку над второй дробью:
Теперь у нас всё готово для вычитания. Осталось умножить дроби на свои дополнительные множители:

Мы пришли к тому, что дроби у которых были разные знаменатели, превратились в дроби у которых одинаковые знаменатели. А как вычитать такие дроби мы уже знаем. Давайте дорешаем этот пример до конца:

Получили ответ
Попробуем изобразить наше решение с помощью рисунка. Если от пиццы отрезать пиццы, то получится пиццы
Это подробная версия решения. Находясь в школе, нам пришлось бы решить этот пример покороче. Выглядело бы такое решение следующим образом:

Приведение дробей и к общему знаменателю также может быть изображено с помощью рисунка. Приведя эти дроби к общему знаменателю, мы получили дроби и . Эти дроби будут изображаться теми же кусочками пицц, но в этот раз они будут разделены на одинаковые доли (приведены к одинаковому знаменателю):

Первый рисунок изображает дробь (восемь кусочков из двенадцати), а второй рисунок — дробь (три кусочка из двенадцати). Отрезав от восьми кусочков три кусочка мы получаем пять кусочков из двенадцати. Дробь и описывает эти пять кусочков.
Пример 2. Найти значение выражения 
У этих дробей разные знаменатели, поэтому сначала нужно привести их к одинаковому (общему) знаменателю.
Найдём НОК знаменателей этих дробей.
Знаменатели дробей это числа 10, 3 и 5. Наименьшее общее кратное этих чисел равно 30
НОК (10, 3, 5) = 30
Теперь находим дополнительные множители для каждой дроби. Для этого разделим НОК на знаменатель каждой дроби.
Найдём дополнительный множитель для первой дроби. НОК это число 30, а знаменатель первой дроби — число 10. Делим 30 на 10, получаем первый дополнительный множитель 3. Записываем его над первой дробью:
Теперь находим дополнительный множитель для второй дроби. Разделим НОК на знаменатель второй дроби. НОК это число 30, а знаменатель второй дроби — число 3. Делим 30 на 3, получаем второй дополнительный множитель 10. Записываем его над второй дробью:
Теперь находим дополнительный множитель для третьей дроби. Разделим НОК на знаменатель третьей дроби. НОК это число 30, а знаменатель третьей дроби — число 5. Делим 30 на 5, получаем третий дополнительный множитель 6. Записываем его над третьей дробью:
Теперь всё готово для вычитания. Осталось умножить дроби на свои дополнительные множители:
Мы пришли к тому, что дроби у которых были разные знаменатели, превратились в дроби у которых одинаковые (общие) знаменатели. А как вычитать такие дроби мы уже знаем. Давайте дорешаем этот пример.
Продолжение примера не поместится на одной строке, поэтому переносим продолжение на следующую строку. Не забываем про знак равенства (=) на новой строке:

В ответе получилась правильная дробь, и вроде бы нас всё устраивает, но она слишком громоздка и некрасива. Надо бы сделать её проще и эстетичнее. А что можно сделать? Можно сократить эту дробь. Напомним, что сокращением дроби называется деление числителя и знаменателя на наибольший общий делитель числителя и знаменателя.
Чтобы грамотно сократить дробь нужно разделить её числитель и знаменатель на наибольший общий делитель (НОД) чисел 20 и 30.
Нельзя путать НОД с НОК. Самая распространённая ошибка многих новичков. НОД — это наибольший общий делитель. Его мы находим для сокращения дроби.
А НОК — это наименьшее общее кратное. Его мы находим для того, чтобы привести дроби к одинаковому (общему) знаменателю.
Сейчас мы будем находить наибольший общий делитель (НОД) чисел 20 и 30.
Итак, находим НОД для чисел 20 и 30:
НОД (20 и 30) = 10
Теперь возвращаемся к нашему примеру и делим числитель и знаменатель дроби на 10:

Получили красивый ответ
Умножение дроби на число
Чтобы умножить дробь на число, нужно числитель данной дроби умножить на это число, а знаменатель оставить прежним.
Пример 1. Умножить дробь на число 1 .
Умножим числитель дроби на число 1
![]()
Запись можно понимать, как взять половину 1 раз. К примеру, если пиццы взять 1 раз, то получится пиццы

Из законов умножения мы знаем, что если множимое и множитель поменять местами, то произведение не изменится. Если выражение , записать как , то произведение по прежнему будет равно . Опять же срабатывает правило перемножения целого числа и дроби:
![]()
Эту запись можно понимать, как взятие половины от единицы. К примеру, если имеется 1 целая пицца и мы возьмем от неё половину, то у нас окажется пиццы:

Пример 2. Найти значение выражения
Умножим числитель дроби на 4
![]()
![]()
Выражение можно понимать, как взятие двух четвертей 4 раза. К примеру, если пиццы взять 4 раза, то получится две целые пиццы

А если поменять множимое и множитель местами, то получим выражение . Оно тоже будет равно 2. Это выражение можно понимать, как взятие двух пицц от четырех целых пицц:

Умножение дробей
Чтобы перемножить дроби, нужно перемножить их числители и знаменатели. Если в ответе получится неправильная дробь, нужно выделить в ней целую часть.
Пример 1. Найти значение выражения .
![]()
Получили ответ . Желательно сократить данную дробь. Дробь можно сократить на 2. Тогда окончательное решение примет следующий вид:

Выражение можно понимать, как взятие пиццы от половины пиццы. Допустим у нас есть половина пиццы:
Как взять от этой половины две третьих? Сначала нужно поделить эту половину на три равные части:

И взять от этих трех кусочков два:

У нас получится пиццы. Вспомните, как выглядит пицца, разделенная на три части:

Один кусок от этой пиццы и взятые нами два кусочка будут иметь одинаковые размеры:

Другими словами, речь идет об одном и том же размере пиццы. Поэтому значение выражения равно

Пример 2. Найти значение выражения
Умножаем числитель первой дроби на числитель второй дроби, а знаменатель первой дроби на знаменатель второй дроби:

В ответе получилась неправильная дробь. Выделим в ней целую часть:
![]()
Пример 3. Найти значение выражения
![]()
В ответе получилась правильная дробь, но будет хорошо, если её сократить. Чтобы сократить эту дробь, её нужно разделить на НОД числителя и знаменателя. Итак, найдём НОД чисел 105 и 450:
НОД для (105 и 150) равен 15
Теперь делим числитель и знаменатель нашего ответа на НОД:
Представление целого числа в виде дроби
Любое целое число можно представить в виде дроби. Например, число 5 можно представить как . От этого пятёрка своего значения не поменяет, поскольку выражение означает «число пять разделить на единицу», а это, как известно равно пятёрке:
Обратные числа
Сейчас мы познакомимся с очень интересной темой в математике. Она называется «обратные числа».
Определение. Обратным к числу a называется число, которое при умножении на a даёт единицу.
Давайте подставим в это определение вместо переменной a число 5 и попробуем прочитать определение:
Обратным к числу 5 называется число, которое при умножении на 5 даёт единицу.
Можно ли найти такое число, которое при умножении на 5, даёт единицу? Оказывается можно. Представим пятёрку в виде дроби:
Затем умножить эту дробь на саму себя, только поменять местами числитель и знаменатель. Другими словами, умножить дробь на саму себя, только перевёрнутую:
Что получится в результате этого? Если мы продолжим решать этот пример, то получим единицу:
![]()
Значит обратным к числу 5, является число , поскольку при умножении 5 на получается единица.
Обратное число можно найти также для любого другого целого числа.
- обратным числа 3 является дробь
- обратным числа 4 является дробь
Найти обратное число можно также для любой другой дроби. Для этого достаточно перевернуть её.
§ 87. Сложение дробей.
Сложение дробей имеет много сходства со сложением целых чисел. Сложение дробей есть действие, состоящее в том, что несколько данных чисел (слагаемых) соединяются в одно число (сумму), содержащее в себе все единицы и доли единиц слагаемых.
Мы последовательно рассмотрим три случая:
1. Сложение дробей с одинаковыми знаменателями.2. Сложение дробей с разными знаменателями.3. Сложение смешанных чисел.
1. Сложение дробей с одинаковыми знаменателями.
Рассмотрим пример: 1 / 5 + 2 / 5 .
Возьмём отрезок АВ (рис. 17), примем его за единицу и разделим на 5 равных частей, тогда часть АС этого отрезка будет равна 1 / 5 отрезка АВ, а часть того же отрезка CD будет равна 2 / 5 АВ.
Из чертежа видно, что если взять отрезок AD, то он будет равен 3 / 5 АВ; но отрезок AD как раз и есть сумма отрезков АС и CD. Значит, можно записать:
1 / 5 + 2 / 5 = 3 / 5
Рассматривая данные слагаемые и полученную сумму, мы видим, что числитель суммы получился от сложения числителей слагаемых, а знаменатель остался без изменения.
Отсюда получаем следующее правило: чтобы сложить дроби с одинаковыми знаменателями, надо сложить их числители и оставить тот же знаменатель.
Рассмотрим пример:
2. Сложение дробей с разными знаменателями.
Сложим дроби: 3 / 4 + 3 / 8 Предварительно их нужно привести к наименьшему общему знаменателю:
Промежуточное звено 6 / 8 + 3 / 8 можно было бы и не писать; мы написали его здесь для большей ясности.
Таким образом, чтобы сложить дроби с разными знаменателями, нужно предварительно привести их к наименьшему общему знаменателю, сложить их числители и подписать общий знаменатель.
Рассмотрим пример (дополнительные множители будем писать над соответствующими дробями):
3. Сложение смешанных чисел.
Сложим числа: 2 3 / 8 + 3 5 / 6 .
Приведём сначала дробные части наших чисел к общему знаменателю и снова их перепишем:
![]()
Теперь сложим последовательно целые и дробные части:
§ 88. Вычитание дробей.
Вычитание дробей определяется так же, как и вычитание целых чисел. Это есть действие, с помощью которого по данной сумме двух слагаемых и одному из них отыскивается другое слагаемое. Рассмотрим последовательно три случая:
1. Вычитание дробей с одинаковыми знаменателями.2. Вычитание дробей с разными знаменателями.3. Вычитание смешанных чисел.
1. Вычитание дробей с одинаковыми знаменателями.
Рассмотрим пример:
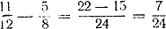
13 / 15 — 4 / 15
Возьмём отрезок АВ (рис. 18), примем его за единицу и разделим на 15 равных частей; тогда часть АС этого отрезка будет представлять собой 1 / 15 от АВ, а часть AD того же отрезка будет соответствовать 13 / 15 AB. Отложим ещё отрезок ED, равный 4 / 15 АВ.
Нам требуется вычесть из 13 / 15 дробь 4 / 15 . На чертеже это значит, что от отрезка AD нужно отнять отрезок ED. В результате останется отрезок AЕ, который составляет 9 / 15 отрезка АВ. Значит, мы можем написать:

Сделанный нами пример показывает, что числитель разности получился от вычитания числителей, а знаменатель остался тот же самый.
Следовательно, чтобы сделать вычитание дробей с одинаковыми знаменателями, нужновычесть числитель вычитаемого из числителя уменьшаемого и оставить прежний знаменатель.
2. Вычитание дробей с разными знаменателями.
Пример. 3 / 4 — 5 / 8
Предварительно приведём эти дроби к наименьшему общему знаменателю:

Промежуточное звено 6 / 8 — 5 / 8 написано здесь для большей ясности, но его можно в дальнейшем пропускать.
Таким образом, чтобы вычесть дробь из дроби, нужно предварительно привести их к наименьшему общему знаменателю, затем из числителя уменьшаемого вычесть числитель вычитаемого и под их разностью подписать общий знаменатель.
Рассмотрим пример:
![]()
3. Вычитание смешанных чисел.
Пример. 10 3 / 4 — 7 2 / 3 .
Приведём дробные части уменьшаемого и вычитаемого к наименьшему общему знаменателю:
Мы вычли целое из целого и дробь из дроби. Но бывают случаи, когда дробная часть вычитаемого больше дробной части уменьшаемого. В таких случаях нужно взять одну единицу из целой части уменьшаемого, раздробить её в те доли, в каких выражена дробная часть, и прибавить к дробной части уменьшаемого. А затем вычитание будет выполняться так же, как и в предыдущем примере:
§ 89. Умножение дробей.
При изучении умножения дробей мы будем рассматривать следующие вопросы:
1. Умножение дроби на целое число.2. Нахождение дроби данного числа.3. Умножение целого числа на дробь.4. Умножение дроби на дробь.5. Умножение смешанных чисел.6. Понятие о проценте.7. Нахождение процентов данного числа. Рассмотрим их последовательно.
1. Умножение дроби на целое число.
Умножение дроби на целое число имеет тот же смысл, что и умножение целого числа на целое. Умножить дробь (множимое) на целое число (множитель) — значит составить сумму одинаковых слагаемых, в которой каждое слагаемое равно множимому, а число слагаемых равно множителю.
Значит, если нужно 1 / 9 умножить на 7, то это можно выполнить так:
Мы легко получили результат, так как действие свелось к сложению дробей с одинаковыми знаменателями. Следовательно,
Рассмотрение этого действия показывает, что умножение дроби на целое число равносильно увеличению этой дроби во столько раз, сколько единиц содержится в целом числе. А так как увеличение дроби достигается или путём увеличения её числителя
или путём уменьшения её знаменателя
,то мы можем либо умножить числитель на целое, либо разделить на него знаменатель, если такое деление возможно.
Отсюда получаем правило:
Чтобы умножить дробь на целое число, нужно умножить на это целое число числитель и оставить тот же знаменатель или, если возможно, разделить на это число знаменатель, оставив без изменения числитель.
При умножении возможны сокращения, например:
2. Нахождение дроби данного числа.Существует множество задач, при решении которых приходится находить, или вычислять, часть данного числа. Отличие этих задач от прочих состоит в том, что в них даётся число каких-нибудь предметов или единиц измерения и требуется найти часть этого числа, которая здесь же указывается определённой дробью. Для облегчения понимания мы сначала приведём примеры таких задач, а потом познакомим со способом их решения.
Задача 1.У меня было 60 руб.; 1 / 3 этих денег я израсходовал на покупку книг. Сколько стоили книги?
Задача 2. Поезд должен пройти расстояние между городами А и В, равное 300 км. Он уже прошёл 2 / 3 этого расстояния. Сколько это составляет километров?
Задача 3.В селе 400 домов, из них 3 / 4 кирпичных, остальные деревянные. Сколько всего кирпичных домов?
Вот некоторые из тех многочисленных задач на нахождение части от данного числа, с которыми нам приходится встречаться. Их обычно называют задачами на нахождение дроби данного числа.
Решение задачи 1. Из 60 руб. я израсходовал на книги 1 / 3 ; Значит, для нахождения стоимости книг нужно число 60 разделить на 3:
Решение задачи 2.Смысл задачи заключается в том, что нужно найти 2 / 3 от 300 км. Вычислим сначала 1 / 3 от 300; это достигается при помощи деления 300 км на 3:
300: 3 = 100 (это 1 / 3 от 300).
Для нахождения двух третей от 300 нужно полученное частное увеличить вдвое, т. е. умножить на 2:
100 х 2 = 200 (это 2 / 3 от 300).
Решение задачи 3.Здесь нужно определить число кирпичных домов, которые составляют 3 / 4 от 400. Найдём сначала 1 / 4 от 400,
400: 4 = 100 (это 1 / 4 от 400).
Для вычисления трёх четвертей от 400 полученное частное нужно увеличить втрое, т. е. умножить на 3:
100 х 3 = 300 (это 3 / 4 от 400).
На основании решения этих задач мы можем вывести следующее правило:
Чтобы найти величину дроби от данного числа, нужно разделить это число на знаменатель дроби и полученное частное умножить на её числитель.
3. Умножение целого числа на дробь.
Ранее (§ 26) было установлено, что умножение целых чисел нужно понимать, как сложение одинаковых слагаемых (5 x 4 = 5+5 +5+5 = 20). В настоящем параграфе (пункт 1) было установлено, что умножить дробь на целое число — это значит найти сумму одинаковых слагаемых, равных этой дроби.
В обоих случаях умножение состояло в нахождении суммы одинаковых слагаемых.
Теперь мы переходим к умножению целого числа на дробь. Здесь мы встретимся с таким, например, умножением: 9 2 / 3 . Совершенно очевидно, что прежнее определение умножения не подходит к данному случаю. Это видно из того, что мы не можем такое умножение заменить сложением равных между собой чисел.
В силу этого нам придётся дать новое определение умножения, т. е., иными словами, ответить на вопрос, что следует разуметь под умножением на дробь, как нужно понимать это действие.
Смысл умножения целого числа на дробь выясняется из следующего определения: умножить целое число (множимое) на дробь (множитель) — значит найти эту дробь множимого.
Именно, умножить 9 на 2 / 3 — значит найти 2 / 3 от девяти единиц. В предыдущем пункте решались такие задачи; поэтому легко сообразить, что у нас в результате получится 6.
Но теперь возникает интересный и важный вопрос: почему такие на первый взгляд различные действия, как нахождение суммы равных чисел и нахождение дроби числа, в арифметике называются одним и тем же словом «умножение»?
Происходит это потому, что прежнее действие (повторение числа слагаемым несколько раз) и новое действие (нахождение дроби числа) дают ответ на однородные вопросы. Значит, мы исходим здесь из тех соображений, что однородные вопросы или задачи решаются одним и тем же действием.
Чтобы это понять, рассмотрим следующую задачу: «1 м сукна стоит 50 руб. Сколько будет стоить 4 м такого сукна?»
Эта задача решается умножением числа рублей (50) на число метров (4), т. е. 50 x 4 = 200 (руб.).
Возьмём такую же задачу, но в ней количество сукна будет выражено дробным числом: «1 м сукна стоит 50 руб. Сколько будет стоить 3 / 4 м такого сукна?»
Эту задачу тоже нужно решать умножением числа рублей (50) на число метров (3 / 4) .
Можно и ещё несколько раз, не меняя смысла задачи, изменить в ней числа, например взять 9 / 10 м или 2 3 / 10 м и т. д.
Так как эти задачи имеют одно и то же содержание и отличаются только числами, то мы называем действия, применяемые при их решении, одним и тем же словом — умножение.
Как выполняется умножение целого числа на дробь?
Возьмём числа, встретившиеся в последней задаче:
Согласно определению мы должны найти 3 / 4 от 50. Найдём сначала 1 / 4 от 50, а затем 3 / 4 .
1 / 4 числа 50 составляет 50 / 4 ;
3 / 4 числа 50 составляют .
Следовательно.
Рассмотрим ещё один пример: 12 5 / 8 = ?
1 / 8 числа 12 составляет 12 / 8 ,
5 / 8 числа 12 составляют .
Следовательно,
Отсюда получаем правило:
Чтобы умножить целое число на дробь, надо умножить целое число на числитель дроби и это произведение сделать числителем, а знаменателем подписать знаменатель данной дроби.
Запишем это правило с помощью букв:
Чтобы это правило стало совершенно понятным, следует помнить, что дробь можно рассматривать как частное. Поэтому найденное правило полезно сравнить с правилом умножения числа на частное, которое было изложено в § 38
Необходимо помнить, что прежде чем выполнять умножение, следует делать (если возможно) сокращения, например:
4. Умножение дроби на дробь. Умножение дроби на дробь имеет тот же смысл, что и умножение целого числа на дробь, т. е. при умножении дроби на дробь нужно от первой дроби (множимого) найти дробь, стоящую во множителе.
Именно, умножить 3 / 4 на 1 / 2 (половину) — это значит найти половину от 3 / 4 .
Как выполняется умножение дроби на дробь?
Возьмём пример: 3 / 4 умножить на 5 / 7 . Это значит, что нужно найти 5 / 7 от 3 / 4 . Найдем сначала 1 / 7 от 3 / 4 , а потом 5 / 7
1 / 7 числа 3 / 4 выразится так:
5 / 7 числа 3 / 4 выразятся так:
Таким образом,
![]()
Еще пример: 5 / 8 умножить на 4 / 9 .
1 / 9 числа 5 / 8 составляет ,
4 / 9 числа 5 / 8 составляют .
Таким образом, ![]()
Из рассмотрения этих примеров можно вывести следующее правило:
Чтобы умножить дробь на дробь, нужно умножить числитель на числитель, а знаменатель — на знаменатель и первое произведение сделать числителем, а второе — знаменателем произведения.
Это правило в общем виде можно записать так:
![]()
При умножении необходимо делать (если возможно) сокращения. Рассмотрим примеры:

5. Умножение смешанных чисел. Так как смешанные числа легко могут быть заменены неправильными дробями, то этим обстоятельством обычно пользуются при умножении смешанных чисел. Это значит, что в тех случаях, когда множимое, или множитель, или оба сомножителя выражены смешанными числами, то их заменяют неправильными дробями. Перемножим, например, смешанные числа: 2 1 / 2 и 3 1 / 5 . Обратим каждое из них в неправильную дробь и потом будем перемножать полученные дроби по правилу умножения дроби на дробь:
Правило. Чтобы перемножить смешанные числа, нужно предварительно обратить их в неправильные дроби и потом перемножить по правилу умножения дроби на дробь.
Примечание. Если один из сомножителей — целое число, то умножение может быть выполнено на основании распределительного закона так:
6. Понятие о проценте. При решении задач и при выполнении различных практических расчётов мы пользуемся всевозможными дробями. Но нужно иметь в виду, что многие величины допускают не любые, а естественные для них подразделения. Например, можно взять одну сотую (1 / 100) рубля, это будет копейка, две сотых — это 2 коп., три сотых — 3 коп. Можно взять 1 / 10 рубля, это будет»10 коп., или гривенник. Можно взять четверть рубля, т. е. 25 коп., половину рубля, т. е. 50 коп. (полтинник). Но практически не берут, например, 2 / 7 рубля потому, что рубль на седьмые доли не делится.
Единица измерения веса, т. е. килограмм, допускает прежде всего десятичные подразделения, например 1 / 10 кг, или 100 г. А такие доли килограмма, как 1 / 6 , 1 / 11 , 1 / 13 неупотребительны.
Вообще наши (метрические) меры являются десятичными и допускают десятичные подразделения.
Однако надо заметить, что крайне полезно и удобно в самых разнообразных случаях пользоваться одинаковым (однообразным) способом подразделения величин. Многолетний опыт показал, что таким хорошо оправдавшим себя делением является «сотенное» деление. Рассмотрим несколько примеров, относящихся к самым разнообразным областям человеческой практики.
1. Цена на книги понизилась на 12 / 100 прежней цены.
Пример. Прежняя цена книги 10 руб. Она понизилась на 1 рубль. 20 коп.
2. Сберегательные кассы выплачивают в течение года вкладчикам 2 / 100 суммы, которая положена на сбережение.
Пример. В кассу положено 500 руб., доход с этой суммы за год составляет 10 руб.
3. Число выпускников одной школы составило 5 / 100 от общего числа учащихся.
П р и м е р. В школе обучалось всего 1 200 учащихся, из них окончили школу 60 человек.
Сотая часть числа называется процентом.
Слово «процент» заимствовано из латинского языка и его корень «цент» означает сто. Вместе с предлогом (pro centum) это слово обозначает «за сотню». Смысл такого выражения вытекает из того обстоятельства, что первоначально в древнем Риме процентами назывались деньги, которые платил должник заимодавцу «за каждую сотню». Слово «цент» слышится в таких всем знакомых словах: центнер (сто килограммов), центиметр (говорится сантиметр).
Например, вместо того чтобы говорить, что завод за истекший месяц дал брака 1 / 100 от всей выработанной им продукции, мы будем говорить так: завод за истекший месяц дал один процент брака. Вместо того чтобы говорить: завод выработал продукции на 4 / 100 больше установленного плана, мы будем говорить: завод перевыполнил план на 4 процента.
Изложенные выше примеры можно высказать иначе:
1. Цена на книги понизилась на 12 процентов прежней цены.
2. Сберегательные кассы выплачивают вкладчикам за год 2 процента с суммы, положенной на сбережение.
3. Число выпускников одной школы составляло 5 процентов числа всех учащихся школы.
Для сокращения письма принято вместо слова «процент» писать значок %.
Однако нужно помнить, что в вычислениях значок % обычно не пишется, он может быть записан в условии задачи и в окончательном результате. При выполнении же вычислений нужно писать дробь со знаменателем 100 вместо целого числа с этим значком.
Нужно уметь заменять целое число с указанным значком дробью с знаменателем 100:
Обратно, нужно привыкнуть вместо дроби с знаменателем 100 писать целое число с указанным значком:
7. Нахождение процентов данного числа.
Задача 1. Школа получила 200 куб. м дров, причём берёзовые дрова составляли 30%. Сколько было берёзовых дров?
Смысл этой задачи состоит в том, что берёзовые дрова составляли лишь часть тех дров, которые были доставлены в школу, и эта часть выражается дробью 30 / 100 . Значит, перед нами задача на нахождение дроби от числа. Для её решения мы должны 200 умножить на 30 / 100 (задачи на нахождение дроби числа решаются умножением числа на дробь.).
Значит, 30% от 200 равняются 60.
Дробь 30 / 100 , встречавшаяся в этой задаче, допускает сокращение на 10. Можно было бы с самого начала выполнить это сокращение; решение задачи от этого не изменилось бы.
Задача 2. В лагере было 300 детей различных возрастов. Дети 11 лет составляли 21%, дети 12 лет составляли 61% и, наконец, 13-летних детей было 18%. Сколько было детей каждого возраста в лагере?
В этой задаче нужно выполнить три вычисления, т. е. последовательно найти число детей 11 лет, потом 12 лет и, наконец, 13 лет.
Значит, здесь нужно будет три раза отыскать дробь от числа. Сделаем это:
1) Сколько было детей 11-летнего возраста?
2) Сколько было детей 12-летнего возраста?
3) Сколько было детей 13-летнего возраста?
После решения задачи полезно сложить найденные числа; сумма их должна составить 300:
63 + 183 + 54 = 300
Следует также обратить внимание на то, что сумма процентов, данных в условии задачи, составляет 100:
21% + 61% + 18% = 100%
Это говорит о том, что общее число детей, находившихся в лагере, было принято за 100%.
3 а д а ч а 3.Рабочий получил за месяц 1 200 руб. Из них 65% он израсходовал на питание, 6% — на квартиру и отопление, 4% — на газ, электричество и радио, 10% — на культурные нужды и 15% — сберёг. Сколько денег израсходовано на указанные в задаче нужды?
Для решения этой задачи нужно 5 раз найти дробь от числа 1 200. Сделаем это.
1) Сколько денег израсходовано на питание? В задаче сказано, что этот расход составляет 65% от всего заработка, т. е. 65 / 100 от числа 1 200. Сделаем вычисление:
![]()
2) Сколько денег уплачено за квартиру с отоплением? Рассуждая подобно предыдущему, мы придём к следующему вычислению:
3) Сколько денег уплатили за газ, электричество и радио?
4) Сколько денег израсходовано на культурные нужды?
5) Сколько денег рабочий сберёг?
Для проверки полезно сложить числа, найденные в этих 5 вопросах. Сумма должна составить 1 200 руб. Весь заработок принят за 100%, что легко проверить, сложив числа процентов, данные в условии задачи.
Мы решили три задачи. Несмотря на то, что в этих задачах речь шла о различных вещах (доставка дров для школы, число детей различных возрастов, расходы рабочего), они решались одним и тем же способом. Это произошло потому, что во всех задачах нужно было найти несколько процентов от данных чисел.
§ 90. Деление дробей.
При изучении деления дробей мы будем рассматривать следующие вопросы:
1. Деление целого числа на целое.2. Деление дроби на целое число3. Деление целого числа на дробь.4. Деление дроби на дробь.5. Деление смешанных чисел.6. Нахождение числа по данной его дроби.7. Нахождение числа по его процентам.
Рассмотрим их последовательно.
1. Деление целого числа на целое.
Как было указано в отделе целых чисел, делением называется действие, состоящее в том, что по данному произведению двух сомножителей (делимому) и одному из этих сомножителей (делителю) отыскивается другой сомножитель.
Деление целого числа на целое мы рассматривали в отделе целых чисел. Мы встретили там два случая деления: деление без остатка, или «нацело» (150: 10 = 15), и деление с остатком (100: 9 = 11 и 1 в остатке). Мы можем, следовательно, сказать, что в области целых чисел точное деление не всегда возможно, потому что делимое не всегда является произведением делителя на целое число. После введения умножения на дробь мы можем всякий случай деления целых чисел считать возможным (исключается только деление на нуль).
Например, разделить 7 на 12 -это значит найти такое число, произведение которого на 12 было бы равно 7. Таким числом является дробь 7 / 12 потому что 7 / 12 12 =7. Ещё пример: 14: 25 = 14 / 25 , потому что 14 / 25 25 = 14.
Таким образом, чтобы разделить целое число на целое, нужно составить дробь, числитель которой равен делимому, а знаменатель — делителю.
2. Деление дроби на целое число.
Разделить дробь 6 / 7 на 3. Согласно данному выше определению деления мы имеем здесь произведение (6 / 7) и один из сомножителей (3); требуется найти такой второй сомножитель, который от умножения на 3 дал бы данное произведение 6 / 7 . Очевидно, он должен быть втрое меньше этого произведения. Значит, поставленная перед нами задача состояла в том, чтобы дробь 6 / 7 уменьшить в 3 раза.
Мы уже знаем, что уменьшение дроби можно выполнить или путём уменьшения её числителя, или путём увеличения её знаменателя. Поэтому можно написать:
![]()
В данном случае числитель 6 делится на 3, поэтому следует уменьшить в 3 раза числитель.
Возьмём другой пример: 5 / 8 разделить на 2. Здесь числитель 5 не делится нацело на 2, значит, на это число придётся умножить знаменатель:
![]()
На основании этого можно высказать правило: чтобы разделить дробь на целое число, нужно разделить на это целое число числитель дроби (если это возможно), оставив тот же знаменатель, или умножить на это число знаменатель дроби, оставив тот же числитель.
3. Деление целого числа на дробь.
Пусть требуется разделить 5 на 1 / 2 , т. е. найти такое число, которое после умножения на 1 / 2 даст произведение 5. Очевидно, это число должно быть больше 5, так как 1 / 2 есть правильная дробь, а при умножении числа на правильную дробь произведение должно быть меньше множимого. Чтобы это было понятнее, запишем наши действия следующим образом: 5: 1 / 2 = х, значит, х 1 / 2 = 5.
Мы должны найти такое число х, которое, будучи умножено на 1 / 2 дало бы 5. Так как умножить некоторое число на 1 / 2 — это значит найти 1 / 2 этого числа, то, следовательно, 1 / 2 неизвестного числа х равна 5, а всё число х вдвое больше, т. е. 5 2 = 10.
Таким образом, 5: 1 / 2 = 5 2 = 10
Проверим: ![]()
Рассмотрим ещё один пример. Пусть требуется разделить 6 на 2 / 3 . Попробуем сначала найти искомый результат с помощью чертежа (рис. 19).
Рис.19
Изобразим отрезок АВ, равный 6 каким-нибудь единицам, и разделим каждую единицу на 3 равные части. В каждой единице три трети (3 / 3) во всём отрезке АВ в 6 раз больше,т. е. 18 / 3 . Соединим при помощи маленьких скобочек 18 полученных отрезков по 2; получится всего 9 отрезков. Значит дробь 2 / 3 содержится в б единицах 9 раз, или, иными словами, дробь 2 / 3 в 9 раз меньше 6 целых единиц. Следовательно,
Каким образом получить этот результат без чертежа при помощи одних только вычислений? Будем рассуждать так: требуется 6 разделить на 2 / 3 , т. е. требуется ответить на вопрос, сколько раз 2 / 3 содержатся в 6. Узнаем сначала: сколько раз 1 / 3 содержится в 6? В целой единице — 3 трети, а в 6 единицах — в 6 раз больше, т. е. 18 третей; для нахождения этого числа мы должны 6 умножить на 3. Значит, 1 / 3 содержится в б единицах 18 раз, а 2 / 3 содержатся в б не 18 раз, а вдвое меньше раз, т. е. 18: 2 = 9. Следовательно, при делении 6 на 2 / 3 мы выполнили следующие действия:
![]()
Отсюда получаем правило деления целого числа на дробь. Чтобы разделить целое число на дробь, надо это целое число умножить на знаменатель данной дроби и, сделав это произведение числителем, разделить его на числитель данной дроби.
Запишем правило при помощи букв:
Чтобы это правило стало совершенно понятным, следует помнить, что дробь можно рассматривать как частное. Поэтому найденное правило полезно сравнить с правилом деления числа на частное, которое было изложено в § 38 . Обратите внимание на то, что там была получена такая же формула.
При делении возможны сокращения, например:
4. Деление дроби на дробь.
Пусть требуется разделить 3 / 4 на 3 / 8 . Что будет обозначать число, которое получится в результате деления? Оно будет давать ответ на вопрос, сколько раз дробь 3 / 8 содержится в дроби 3 / 4 . Чтобы разобраться в этом вопросе, сделаем чертёж (рис. 20).

Возьмём отрезок АВ, примем его за единицу, разделим на 4 равные части и отметим 3 такие части. Отрезок АС будет равен 3 / 4 отрезка АВ. Разделим теперь каждый из четырёх первоначальных отрезков пополам, тогда отрезок АВ разделится на 8 равных частей и каждая такая часть будет равна 1 / 8 отрезка АВ. Соединим дугами по 3 таких отрезка, тогда каждый из отрезков AD и DC будет равен 3 / 8 отрезка АВ. Чертёж показывает, что отрезок, равный 3 / 8 , содержится в отрезке, равном 3 / 4 , ровно 2 раза; значит, результат деления можно записать так:
3 / 4: 3 / 8 = 2
Рассмотрим ещё один пример. Пусть требуется разделить 15 / 16 на 3 / 32:
Мы можем рассуждать так: нужно найти такое число, которое после умножения на 3 / 32 Даст произведение, равное 15 / 16 . Запишем вычисления так:
15 / 16: 3 / 32 = х
3 / 32 х = 15 / 16
3 / 32 неизвестного числа х составляют 15 / 16
1 / 32 неизвестного числа х составляет ,
32 / 32 числа х составляют .
Следовательно,
![]()
Таким образом, чтобы разделить дробь на дробь, нужно числитель первой дроби умножить на знаменатель второй, а знаменатель первой дроби умножить на числитель второй и первое произведение сделать числителем, а второе — знаменателем.
Запишем правило с помощью букв:
При делении возможны сокращения, например:
5. Деление смешанных чисел.
При делении смешанных чисел их нужно предварительно обращать в неправильные дроби,а затем производить деление полученных дробей по правилам деления дробных чисел. Рассмотрим пример:
Обратим смешанные числа в неправильные дроби:
![]()
Теперь разделим:
Таким образом, чтобы разделить смешанные числа, нужно обратить их в неправильные дроби и затем разделить по правилу деления дробей.
6. Нахождение числа по данной его дроби.
Среди различных задач на дроби иногда встречаются такие, в которых даётся величина какой-нибудь дроби неизвестного числа и требуется найти это число. Этого типа задачи будут обратными по отношению к задачам на нахождение дроби данного числа; там давалось число и требовалось найти некоторую дробь от этого числа, здесь даётся дробь от числа и требуется найти само это число. Эта мысль станет ещё яснее, если мы обратимся к решению такого типа задач.
Задача 1.В первый день стекольщики остеклили 50 окон, что составляет 1 / 3 всех окон построенного дома. Сколько всего окон в этом доме?
Решение. В задаче сказано, что остеклённые 50 окон составляют 1 / 3 всех окон дома, значит, всего окон в 3 раза больше, т. е.
В доме было 150 окон.
Задача 2. Магазин продал 1 500 кг муки, что составляет 3 / 8 всего запаса муки, имевшегося в магазине. Каков был первоначальный запас муки в магазине?
Решение. Из условия задачи видно, что проданные 1 500 кг муки составляют 3 / 8 всего запаса; значит, 1 / 8 этого запаса будет в 3 раза меньше, т. е. для её вычисления нужно 1500 уменьшить в 3 раза:
1 500: 3 = 500 (это 1 / 8 запаса).
Очевидно, весь запас будет в 8 раз больше. Следовательно,
500 8 = 4 000 (кг).
Первоначальный запас муки в магазине был равен 4 000 кг.
Из рассмотрения этой задачи можно вывести следующее правило.
Чтобы найти, число по данной величине его дроби, достаточно разделить эту величину на числитель дроби и результат умножить на знаменатель дроби.
Мы решили две задачи на нахождение числа по данной его дроби. Такие задачи, как это особенно хорошо видно из последней, решаются двумя действиями: делением (когда находят одну часть) и умножением (когда находят всё число).
Однако после того как мы изучили деление дробей, указанные выше задачи можно решать одним действием, а именно: делением на дробь.
Например, последняя задача может быть решена одним действием так:
В дальнейшем задачи на нахождение числа по его дроби мы будем решать одним действием — делением.
7. Нахождение числа по его процентам.
В этих задачах нужно будет найти число, зная несколько процентов этого числа.
Задача 1. В начале текущего года я получил в сберегательной кассе 60 руб. дохода с суммы, положенной мной на сбережение год назад. Сколько денег я положил в сберегательную кассу? (Кассы дают вкладчикам 2% дохода в год.)
Смысл задачи состоит в том, что некоторая сумма денег была положена мной в сберегательную кассу и пролежала там год. По прошествии года я получил с неё 60 руб. дохода, что составляет 2 / 100 тех денег, которые я положил. Сколько же денег я положил?
Следовательно, зная часть этих денег, выраженную двумя способами (в рублях и дробью), мы должны найти всю, пока неизвестную, сумму. Это обыкновенная задача на нахождение числа по данной его дроби. Решаются такие задачи делением:
Значит, в сберегательную кассу было положено 3000 руб.
Задача 2. Рыболовы за две недели выполнили месячный план на 64%, заготовив 512 т рыбы. Какой у них был план?
Из условия задачи известно, что рыболовы выполнили часть плана. Эта часть равна 512 т, что составляет 64% плана. Сколько тонн рыбы нужно заготовить по плану, нам неизвестно. В нахождении этого числа и будет состоять решение задачи.
Такие задачи решаются делением:
Значит, по плану нужно заготовить 800 т рыбы.
Задача 3.Поезд шёл из Риги в Москву. Когда он миновал 276-й километр, один из пассажиров спросил проходящего кондуктора, какую часть пути они уже проехали. На это кондуктор ответил: «Проехали уже 30% всего пути». Каково расстояние от Риги до Москвы?
Из условия задачи видно, что 30% пути от Риги до Москвы составляют 276 км. Нам нужно найти всё расстояние между этими городами, т. е. по данной части найти целое:
§ 91. Взаимно обратные числа. Замена деления умножением.
Возьмём дробь 2 / 3 и переставим числитель на место знаменателя, получится 3 / 2 . Мы получили дробь, обратную данной.
Для того чтобы получить дробь, обратную данной, нужно её числитель поставить на место знаменателя, а знаменатель — на место числителя. Этим способом мы можем получить дробь, обратную любой дроби. Например:
3 / 4 , обратная 4 / 3 ; 5 / 6 , обратная 6 / 5
Две дроби, обладающие тем свойством, что числитель первой является знаменателем второй, а знаменатель первой является числителем второй, называются взаимно обратными.
Теперь подумаем, какая дробь будет обратной для 1 / 2 . Очевидно, это будет 2 / 1 , или просто 2. Отыскивая дробь, обратную данной, мы получили целое число. И этот случай не единичный; напротив, для всех дробей с числителем 1 (единица) обратными будут целые числа, например:
1 / 3 , обратная 3; 1 / 5 , обратная 5
Так как при отыскании обратных дробей мы встретились и с целыми числами, то в дальнейшем мы будем говорить не об обратных дробях, а об обратных числах.
Выясним, как написать число, обратное целому числу. Для дробей это решается просто: нужно знаменатель поставить на место числителя. Этим же способом можно получить обратное число и для целого числа, так как у любого целого числа можно подразумевать знаменатель 1. Значит, число, обратное 7, будет 1 / 7 , потому что 7 = 7 / 1 ; для числа 10 обратное будет 1 / 10 , так как 10 = 10 / 1
Эту мысль можно выразить иначе: число, обратное данному числу, получается от деления единицы на данное число. Такое утверждение справедливо не только для целых чисел, но и для дробей. В самом деле, если требуется написать число, обратное дроби 5 / 9 , то мы можем взять 1 и разделить ее на 5 / 9 , т. е.

Теперь укажем одно свойство взаимно обратных чисел, которое будет нам полезно: произведение взаимно обратных чисел равно единице. В самом деле:
Пользуясь этим свойством, мы можем находить обратные числа следующим путём. Пусть нужно найти число, обратное 8.
Обозначим его буквой х , тогда 8 х = 1, отсюда х= 1 / 8 . Найдём ещё число, обратное 7 / 12 обозначим его буквой х, тогда 7 / 12 х = 1, отсюда х = 1: 7 / 12 или х = 12 / 7 .
Мы ввели здесь понятие о взаимно обратных числах для того, чтобы немного дополнить сведения о делении дробей.
Когда мы делим число 6 на 3 / 5 , то мы выполняем следующие действия:
![]()
Обратите особое внимание на выражение и сравните его с заданным: .
Если взять выражение отдельно, без связи с предыдущим, то нельзя решить вопрос, откуда оно возникло: от деления 6 на 3 / 5 или от умножения 6 на 5 / 3 . В обоих случаях получается одно и то же. Поэтому мы можем сказать, что деление одного числа на другое можно заменить умножением делимого на число, обратное делителю.
Примеры, которые мы даём ниже, вполне подтверждают этот вывод.
В курсе средней и старшей школы учащиеся проходили тему «Дроби». Однако это понятие гораздо шире, чем дается в процессе обучения. Сегодня понятие дроби встречается достаточно часто, и не каждый может провести вычисления какого-либо выражения, к примеру, умножение дробей.
Что такое дробь?
Так исторически сложилось, что дробные числа появились из-за необходимости измерять. Как показывает практика, часто встречаются примеры на определение длины отрезка, объема прямоугольного прямоугольника.
Первоначально ученики знакомятся с таким понятием, как доля. К примеру, если разделить арбуз на 8 частей, то каждому достанется по одной восьмой арбуза. Вот эта одна часть из восьми и называется долей.
Доля, равная ½ от какой-либо величины, называется половиной; ⅓ — третью; ¼ — четвертью. Записи вида 5 / 8 , 4 / 5 , 2 / 4 называют обыкновенными дробями. Обыкновенная дробь разделяется на числитель и знаменатель. Между ними находится черта дроби, или дробная черта. Дробную черту можно нарисовать в виде как горизонтальной, так и наклонной линии. В данном случае она обозначает знак деления.

Знаменатель представляет, на сколько одинаковых долей разделяют величину, предмет; а числитель — сколько одинаковых долей взято. Числитель пишется над дробной чертой, знаменатель — под ней.
Удобнее всего показать обыкновенные дроби на координатном луче. Если единичный отрезок разделить на 4 равные доли, обозначить каждую долю латинской буквой, то в результате можно получить отличное наглядное пособие. Так, точка А показывает долю, равную 1 / 4 от всего единичного отрезка, а точка В отмечает 2 / 8 от данного отрезка.

Разновидности дробей
Дроби бывают обыкновенные, десятичные, а также смешанные числа. Кроме того, дроби можно разделить на правильные и неправильные. Эта классификация больше подходит для обыкновенных дробей.
Под правильной дробью понимают число, у которого числитель меньше знаменателя. Соответственно, неправильная дробь — число, у которого числитель больше знаменателя. Второй вид обычно записывают в виде смешанного числа. Такое выражение состоит из целой и дробной части. Например, 1½. 1 — целая часть, ½ — дробная. Однако если нужно провести какие-то манипуляции с выражением (деление или умножение дробей, их сокращение или преобразование), смешанное число переводится в неправильную дробь.
Правильное дробное выражение всегда меньше единицы, а неправильное — больше либо равно 1.
Что касается то под этим выражением понимают запись, в которой представлено любое число, знаменатель дробного выражения которого можно выразить через единицу с несколькими нулями. Если дробь правильная, то целая часть в десятичной записи будет равна нулю.
Чтобы записать десятичную дробь, нужно сначала написать целую часть, отделить ее от дробной с помощью запятой и потом уже записать дробное выражение. Необходимо помнить, что после запятой числитель должен содержать столько же цифровых символов, сколько нулей в знаменателе.
Пример. Представить дробь 7 21 / 1000 в десятичной записи.

Алгоритм перевода неправильной дроби в смешанное число и наоборот
Записывать в ответе задачи неправильную дробь некорректно, поэтому ее нужно перевести в смешанное число:
- разделить числитель на имеющийся знаменатель;
- в конкретном примере неполное частное — целое;
- и остаток — числитель дробной части, причем знаменатель остается неизменным.
Пример. Перевести неправильную дробь в смешанное число: 47 / 5 .
Решение. 47: 5. Неполное частное равняется 9, остаток = 2. Значит, 47 / 5 = 9 2 / 5 .
Иногда нужно представить смешанное число в качестве неправильной дроби. Тогда нужно воспользоваться следующим алгоритмом:
- целая часть умножается на знаменатель дробного выражения;
- полученное произведение прибавляется к числителю;
- результат записывается в числителе, знаменатель остается неизменным.
Пример. Представить число в смешанном виде в качестве неправильной дроби: 9 8 / 10 .
Решение. 9 х 10 + 8 = 90 + 8 = 98 — числитель.
Ответ: 98 / 10.
Умножение дробей обыкновенных
Над обыкновенными дробями можно совершать различные алгебраические операции. Чтобы перемножить два числа, нужно числитель перемножить с числителем, а знаменатель со знаменателем. Причем умножение дробей с разными знаменателямине отличается от произведения дробных чисел с одинаковыми знаменателями.

Случается, что после нахождения результата нужно сократить дробь. В обязательном порядке нужно максимально упростить получившееся выражение. Конечно, нельзя сказать, что неправильная дробь в ответе — это ошибка, но и назвать верным ответом ее тоже затруднительно.
Пример. Найти произведение двух обыкновенных дробей: ½ и 20 / 18 .

Как видно из примера, после нахождения произведения получилась сократимая дробная запись. И числитель, и знаменатель в данном случае делится на 4, и результатом выступает ответ 5 / 9 .
Умножение дробей десятичных
Произведение десятичных дробей довольно сильно отличается от произведения обыкновенных по своему принципу. Итак, умножение дробей заключается в следующем:
- две десятичные дроби нужно записать друг под другом так, чтобы крайние правые цифры оказались одна под другой;
- нужно перемножить записанные числа, несмотря на запятые, то есть как натуральные;
- подсчитать количество цифр после знака запятой в каждом из чисел;
- в получившемся после перемножения результате нужно отсчитать справа столько цифровых символов, сколько содержится в сумме в обоих множителях после запятой, и поставить отделяющий знак;
- если цифр в произведении оказалось меньше, тогда перед ними нужно написать столько нулей, чтобы покрыть это количество, поставить запятую и приписать целую часть, равную нулю.

Пример. Вычислить произведение двух десятичных дробей: 2,25 и 3,6.
Решение.

Умножение смешанных дробей
Чтобы вычислить произведение двух смешанных дробей, нужно использовать правило умножения дробей:
- перевести числа в смешанном виде в неправильные дроби;
- найти произведение числителей;
- найти произведение знаменателей;
- записать получившийся результат;
- максимально упростить выражение.
Пример. Найти произведение 4½ и 6 2 / 5.

Умножение числа на дробь (дроби на число)
Помимо нахождения произведения двух дробей, смешанных чисел, встречаются задания, где нужно помножить на дробь.
Итак, чтобы найти произведение десятичной дроби и натурального числа, нужно:
- записать число под дробью так, чтобы крайние правые цифры оказались одна над другой;
- найти произведение, несмотря на запятую;
- в полученном результате отделить целую часть от дробной с помощью запятой, отсчитав справа то количество знаков, которое находится после запятой в дроби.
Чтобы умножить обыкновенную дробь на число, следует найти произведение числителя и натурального множителя. Если в ответе получается сократимая дробь, ее следует преобразовать.
Пример. Вычислить произведение 5 / 8 и 12.
Решение. 5 / 8 * 12 = (5*12) / 8 = 60 / 8 = 30 / 4 = 15 / 2 = 7 1 / 2.
Ответ: 7 1 / 2.
Как видно из предыдущего примера, необходимо было сократить получившийся результат и преобразовать неправильное дробное выражение в смешанное число.
Также умножение дробей касается и нахождения произведения числа в смешанном виде и натурального множителя. Чтобы перемножить эти два числа, следует целую часть смешанного множителя умножить на число, числитель помножить на это же значение, а знаменатель оставить неизменным. Если требуется, нужно максимально упростить получившийся результат.
Пример. Найти произведение 9 5 / 6 и 9.
Решение. 9 5 / 6 х 9 = 9 х 9 + (5 х 9) / 6 = 81 + 45 / 6 = 81 + 7 3 / 6 = 88 1 / 2.
Ответ: 88 1 / 2.
Умножение на множители 10, 100, 1000 или 0,1; 0,01; 0,001
Из предыдущего пункта вытекает следующее правило. Для умножения дроби десятичной на 10, 100, 1000, 10000 и т. д. нужно передвинуть запятую вправо на столько символов цифр, сколько нулей во множителе после единицы.
Пример 1. Найти произведение 0,065 и 1000.
Решение. 0,065 х 1000 = 0065 = 65.
Ответ: 65.
Пример 2. Найти произведение 3,9 и 1000.
Решение. 3,9 х 1000 = 3,900 х 1000 = 3900.
Ответ: 3900.
Если нужно перемножить натуральное число и 0,1; 0,01; 0,001; 0,0001 и т. д., следует передвинуть влево запятую в получившемся произведении на столько символов цифр, сколько нулей находится до единицы. Если необходимо, перед натуральным числом записываются нули в достаточном количестве.
Пример 1. Найти произведение 56 и 0,01.
Решение. 56 х 0,01 = 0056 = 0,56.
Ответ: 0,56.
Пример 2. Найти произведение 4 и 0,001.
Решение. 4 х 0,001 = 0004 = 0,004.
Ответ: 0,004.
Итак, нахождение произведения различных дробей не должно вызывать затруднений, разве что подсчет результата; в таком случае без калькулятора просто не обойтись.
