“…- Сколько попугаев в тебе поместится, такой у тебя рост.– Очень надо! Я не стану глотать столько попугаев!…”
Из м/ф “38 попугаев”
В соответствии с международными правилами СИ (международная система единиц измерения) количество тепловой энергии или количество тепла измеряется в Джоулях [Дж], также существуют кратные единицы килоДжоуль [кДж] = 1000 Дж., МегаДжоуль [МДж] = 1 000 000 Дж, ГигаДжоуль [ГДж] = 1 000 000 000 Дж. и пр. Эта единица измерения тепловой энергии является основной международной единицей и наиболее часто используется при проведении научных и научно-технических расчётов.
Однако, все из нас знают или хотя бы раз слышали и другую единицу измерения количества теплоты (или просто тепла) это калория, а также килокалория, Мегакалория и Гигакалория, что означают приставки кило, Гига и Мега, смотреть пример с Джоулями выше. В нашей стране исторически сложилось так, что при расчёте тарифов за отопление, будь то отопление электроэнергией, газовыми или пеллетными котлами принято считать стоимость именно одной Гигакалории тепловой энергии.
Так что же такое Гигакалория, килоВатт, килоВатт*час или килоВатт/час и Джоули и как они связаны между собой?, вы узнаете в этой статье.
Итак, основная единица тепловой энергии это, как уже было сказано, Джоуль. Но прежде чем говорить об единицах измерения необходимо в принципе на бытовом уровне разъяснить что такое тепловая энергия и как и для чего её измерять.
Всем нам с детства известно, чтобы согреться (получить тепловую энергию) нужно что-то поджечь, поэтому все мы жгли костры, традиционное топливо для костра – это дрова. Таким образом, очевидно, при горении топлива (любого: дрова, уголь, пеллеты, природный газ, солярка) выделяется тепловая энергия (тепло). Но, чтобы нагреть, к примеру, различные объёмы воды требуется разное количество дров (или иного топлива). Ясно, что для нагрева двух литров воды достаточно нескольких пален в костре, а чтобы приготовить полведра супа на весь лагерь, нужно запастись несколькими вязанками дров. Чтобы не измерять такие строгие технические величины, как количество теплоты и теплота сгорания топлива вязанками дров и вёдрами с супом, теплотехники решили внести ясность и порядок и договорились выдумать единицу количества теплоты. Чтобы эта единица была везде одинаковая её определили так: для нагрева одного килограмма воды на один градус при нормальных условиях (атмосферном давлении) требуется 4 190 калорий, или 4,19 килокалории, следовательно, чтобы нагреть один грамм воды будет достаточно в тысячу раз меньше теплоты – 4,19 калории.
Калория связана с международной единицей тепловой энергии – Джоулем следующим соотношением:
1 калория = 4,19 Джоуля.
Таким образом, для нагрева 1 грамма воды на один градус потребуется 4,19 Джоуля тепловой энергии, а для нагрева одного килограмма воды 4 190 Джоулей тепла.
В технике, наряду с единицей измерения тепловой (и всякой другой) энергии существует единица мощности и, в соответствии с международной системой (СИ) это Ватт. Понятие мощности также применимо и к нагревательным приборам. Если нагревательный прибор способен отдать за 1 секунду 1 Джоуль тепловой энергии, то его мощность равна 1 Ватт. Мощность, это способность прибора производить (создавать) определённое количество энергии (в нашем случае тепловой энергии) в единицу времени. Вернёмся к нашему примеру с водой, чтобы нагреть один килограмм (или один литр, в случае с водой килограмм равен литру) воды на один градус Цельсия (или Кельвина, без разницы) нам потребуется мощность 1 килокалория или 4 190 Дж. тепловой энергии. Чтобы нагреть один килограмм воды за 1 секунду времени на 1 грдус нам нужен прибор следующей мощности:
4190 Дж./1 с. = 4 190 Вт. или 4,19 кВт.
Если мы хотим нагреть наш килограмм воды на 25 градусов за ту же секунду, то нам потребуется мощность в двадцать пять раз больше т.е.
4,19*25 =104,75 кВт.
Таким образом, можно сделать вывод, что пеллетный котёл мощностью 104,75 кВт. нагревает 1 литр воды на 25 градусов за одну секунду.
Раз мы добрались до Ватт и килоВатт, следует и о них словечко замолвить. Как уже было сказано Ватт – это единица мощности, в том числе и тепловой мощности котла, но ведь кроме пеллетных котлов и газовых котлов человечеству знакомы и электрокотлы, мощность которых измеряется, разумеется, в тех же килоВаттах и потребляют они не пеллеты и не газ, а электроэнергию, количество которой измеряется в килоВатт часах. Правильное написание единицы энергии килоВатт*час (именно, килоВатт умножить на час, а не разделить), запись кВт/час – является ошибкой!
В электрокотлах электрическая энергия преобразуется в тепловую (так называемое, Джоулево тепло), и, если котёл потребил 1 кВт*час электроэнергии, то сколько же он выработал тепла? Чтобы ответить на это простой вопрос, нужно выполнить простой расчёт.
Преобразуем килоВатты в килоДжоули/секунды (килоДжоуль в секунду), а часы в секунды: в одном часе 3 600 секунд, получим:
1 кВт*час =[ 1 кДж/с]*3600 c.=1 000 Дж *3600 с = 3 600 000 Джоулей или 3,6 МДж.
Итак,
1 кВт*час = 3,6 МДж.
В свою очередь, 3,6 МДж/4,19 = 0,859 Мкал = 859 ккал = 859 000 кал. Энергии (тепловой).
Теперь перейдём к Гигакалории, цену которой на различных видах топлива любят считать теплотехники.
1 Гкал = 1 000 000 000 кал.
1 000 000 000 кал. = 4,19*1 000 000 000 = 4 190 000 000 Дж.= 4 190 МДж. = 4,19 ГДж.
Или зная, что 1 кВт*час = 3,6 МДж пересчитаем 1 Гигакалорию на килоВатт*часы:
1 Гкал = 4190 МДж/3,6 МДж = 1 163 кВт*часов!
Если прочитав данную статью вы решили, проконсультироваться со специалистом нашей компании по любому вопросу, связанному с теплоснабжением, то вам Сюда!
Source: teplo-en.ru
По определению, калория – это количество теплоты, которое требуется для нагрева одного кубического сантиметра воды на 1 градус Цельсия. Гигакалория, применяемая для измерения тепловой энергии в теплоэнергетике и коммунальном хозяйстве, это миллиард калорий. В 1 метре 100 сантиметров, следовательно, в одном кубическом метре – 100 х 100 х 100 = 1000000 сантиметров. Таким образом, чтобы нагреть куб воды на 1 градус, потребуется миллион калорий или 0,001 Гкал.
В моем городе цена отопления 1132,22руб/Гкал,а цена горячей воды— 71,65руб/куб.м., цена холодной воды 16,77руб/куб.м.
Сколько тратится Гкал,чтоб греть 1 куб воды?
Я думаю так s х 1132,22 = 71,65 — 16,77 и таким образом решаю уравнения,чтоб узнать на что равен s(Гкал),то есть равен 0,0484711452 Гкал Я че то сомневаюсь,по моему, я неправильно решаю
ОТВЕТ: В Вашем расчёте ошибок я не нахожу. Естественно, в приведённых тарифах не должна присутствовать стоимость стоков (водоотведение).
Примерный расчёт по г. Ижевску по старым нормам выглядит так:0,19 Гкал на человека в месяц (эта норма сейчас уже отменена, но другой нет, для примера подойдёт) / 3,6 куб.м. на человека в месяц (норма потребления горячей воды) = 0,05278 Гкал на 1 куб.м. (столько нужно тепла для нагрева 1 куб.м. холодной воды до нормативной температуры горячей воды, которая, напомню, составляет 60 град. С).
Для более точного расчёта количества тепловой энергии на подогрев воды прямым методом исходя из физических величин (а не обратным путём исходя из утверждённых тарифов на ГВС) — рекомендую воспользоваться шаблоном по расчету тарифа на горячую воду (РЭК УР). В формуле расчёта, помимо прочего, используется температура холодной воды в летний и зимний (отопительный) периоды, продолжительность этих периодов.
Метки: гигакалория, горячая вода
Читайте также:
- Оплачиваем услуги ГВС, температура значительно ниже норматива. Что делать?
- Длящийся установленный Правилами срок отключения ГВС не является незаконным — решение Верховного Суда РФ (2017)
- Инициатива об установлении более справедливых тарифов и методики учёта расхода горячей воды
- О порядке перерасчета размера платы за отопление и ГВС при отключениях — разъяснение Роспотребнадзора по УР
- Об учете теплоносителя в закрытой системе теплоснабжения — письмо Минстроя РФ от 31.03.2015 №9116-ОД/04
- УР — Об уменьшении платы за отопление и ГВС — письмо Минэнерго УР от 17.08.2015 №11-10/5661
- Каков нормативный срок поверки общедомового прибора учета отопления и ГВС?
- Грязная горячая вода из-под крана. Куда обращаться?
- Может ли счётчик воды в квартире накрутить за весь подьезд? Как платить? Показания за месяц — 42 кубометра
- Порядок ведения раздельного учета затрат в сфере водоснабжения и водоотведения — приказ Минстроя РФ от 25.01.2014 г. №22/пр
Знаете? Можете помочь ответом:
- плата за воду и электроэнергию в квартире без проживания
- расчет тепла по ОДПУ по 1/12
- Электроснабжение
- Огромные платежи за комнату в общаге (17.3 кв.м.)
Комментарии: (11)Подсказка: Поделитесь ссылкой в соцсетях , если хотите получить больше ответов/комментариев!
Сания пишет 16.07.2012 г.: (ответ выделен в тексте)
Здравствуйте! Я запуталась в своих расчетах,не знаю какую формулу взять и таблицу о теплопотерях Математику знаю в рамке школьной программы,вот в моем случае если
значит решаю так q = (71,65-17,30) / 1132,22 = 0,04800304 Гкал,но для нагрева 1 куб.м. холодной воды нужна 0,001Гкал тепловая энергия,значит
0,04800304 / 0,001 = 48градусов,но если вычесть холодную воду,у нас на 2011 год 9,04 градуса,так остается 38,96 градуса горячей воды,но это же не соответствует СанПину
- О.: По логике здесь не вычитать надо, а прибавлять. 48 градусов — это дополнительный нагрев к температуре холодной воды, чтобы получилась горячая вода. Т.е. 48+9,04=57,04 градуса.
Но есть еще формула в методике от 2005 года
qнагр. = γ c (th– tс) (l + KТ.П) l0-6 где: γ — объемный вес воды, кгс/м3; принимается равным 983,24 кгс/м3 при th = 60°С; 985,73 кгс/м3 при температуре th = 55°С; 988,07 кгс/м3 при температуре th = 50°С; с — теплоемкость воды, ккал/кгс °С, принимается равной 1,0 ккал/кгс °С; th — средняя температура горячей воды в местах водоразбора, °С; tс — средняя температура холодной воды в сети водопровода, °С; KТ.П — коэффициент, учитывающий тепловые потери трубопроводами систем горячего водоснабжения и затраты тепловой энергии на отопления ванных комнат. Значения коэффициента KТ.П, учитывающего тепловые потери трубопроводами систем горячего водоснабжения и затраты тепловой энергии на отопление ванных комнат, определяются по таблице 1.
с полотенцесушителями 0,35 и 0,3 без полотенцесушителей 0,25 и 0,2
Но если решать по этой формуле,то получится 0,06764298,вот не знаю как быть
- О: Рекомендую посчитать по шаблону РЭК. Он учитывает действующие методики (на момент создания). В файле с шаблоном (xls) можно посмотреть формулы и используемые значения переменных. Количество тепловой энергии на подогрев воды отображается там в строке №8.
Сания пишет 23.07.2012 г.: Здравствуйте! Я так не смогла решать задачу,если температура горячей воды у меня получилась 41,3 С,то как мне решать если:
- за каждые 3°С снижения температуры свыше допустимых отклонений размер платы снижается на 0,1 процента за каждый час превышения (суммарно за расчетный период) допустимой продолжительности нарушения; при снижении температуры горячей воды ниже 40°С оплата потребленной воды производится по тарифу за холодную воду
значит 60-41,3=18,7градусов не хватает если делить на 3 то получится 6,23 х 0,1 =0,623% только не знаю,правильно я думаю?по моему,я неправильно решаю
Сания пишет 25.07.2012 г.: Здравствуйте! Я несколько дней думала над Вашим предложением
- О.: По логике здесь не вычитать надо, а прибавлять. 48 градусов — это дополнительный нагрев к температуре холодной воды, чтобы получилась горячая вода. Т.е. 48+9,04=57,04 градуса. ,
сперва согласилась, а теперь думаю,что я все таки правильно решила,но ладно допустим,что Вы решили правильно тогда:
57,04 х 0,001= 0,05704Гкал,но в моем случае потрачено всего теплоэнергии 0,04800304 Гкал,а не 0,05704Гкал:))))
отопление———- 1132,22руб/Гкал холодная вода— 17,30руб./куб.м.,а горячая вода —— 71,65руб/куб.м.
Количество тепловой энергии, для нагрева 1 м3 холодной воды потрачено Теплоснабжающей компанией
q = (71,65-17,30) / 1132,22 = 0,04800304 Гкал,
Порой возникает необходимость определения мощности нагревателя.В случае, если нагреватель электрический, определить мощность можно измерив протекающий ток или сопротивление нагревателя.Что же делать, если нагреватель газовый (дровяной, угольный, керосиновый, солнечный, геотермический и пр.)?Да и в случае электрического нагревателя может не быть возможности измерить ток/сопротивление.Поэтому предлагаю метод определения мощности нагревателя с помощью термометра, литрометра (весов) и часов (таймера, секундомера), то есть приборов, которые почти наверняка найдутся в арсенале самогонщика.
Определенное количество воды m залить в кастрюлю и измерить начальную температуру (T 1).Установить на разогретый нагреватель, засечь время. Через определенное время t снять показания термометра (T 2).Рассчитать мощность:P = 4,1868*m*(T 2 -T 1)/t
Таким способом определил мощность конфорки своей печки в среднем положении переключателя мощности.Залил в кастрюлю 3 литра = 3000 грамм водыУстановил таймер на t = 10 минут = 600 секундНачальная температура воды T 1 = 12,5°CТемпература при срабатывании таймера T 2 = 29,1°C
Расчет:Для нагрева 1 грамма воды на 1°C необходимо количество энергии в 1 калорию или 4,1868 джоуль;Затраченная на нагрев трех литров воды энергия E = 3000*(29,1-12,5) = 49800 калорий = 208502,64 джоулей;Мощность — это количество энергии, подводимой за промежуток времени.P = 208502,64/600 = 347,5044 ватт;
Если предположить теплопотери в 10%, то истинная мощность конфорки составит порядка 400 ватт или 0,4 киловатт.
Пока излагал, подумалось, что точность определения можно повысить, немного изменив эту методу для компенсации теплопотерь.Холодная вода из крана имеет начальную температуру ниже температуры окружающей среды, поэтому отбирает энергию, пока эти температуры не сравняются. При дальнейшем нагреве вода начинает нагревать окружающую среду.Таким образом, нужно измерить начальную температуру воды (T 1)и температуру окружающей среды (Tср) и нагрев вести, отметив время, до компенсационной температурыT2 = Tср + (Tср — T 1) = 2* Tср — T 1
Измерив время t, за которое происходит нагрев воды массой m до компенсационной температуры, определяем мощность по уже известной формуле:P = 4,1868*m*(T 2 -T 1)/t
Заинтересовал вопрос нагрева воды в квартире многоэтажки при помощи бойлера косвенного нагрева (от центральной системы отопления). Монтаж планирую сделать по закону и обратился к тепловикам за разрешением. Они мне рассчитали стоимость подогрева по своей формуле и ну уж очень высокую (по моему мнению). Подскажите пожалуйста, сколько необходимо Гкал на подогрев куба воды в бойлере косвенного нагрева?
Что бы нагреть объем воды в один куб на один градус понадобится 0,001 Гкал. Расчет прост в кубе 100 х 100 х 100 = 1000000 сантиметров, а значит для нагрева на один градус потребуется, миллион калорий или 0,001 Гкал.
При расчетах непременно нужно знать:
какая температура у воды при поступлении на обогрев:
и какая планируемая температура нагрева.
Вот такая формула применяется при расчетах:
Результат примера такой:
По законам теплодинамики на подогрев 1 м3 холодной воды на 1 градус необходимо 0,001 Гкал.
Чтобы проверить расчеты теплосети, Вы должны знать следующие данные:
- какой температуры поступает холодная вода (к примеру- 5 градусов);
- какой температуры будет горячая вода (по нормативам — горячая вода должна быдь 55 градусов).
Соответственно, для подогрева надо потратить (55-5)*0,001= 0,05 Гкал.
При рассчете температурные значения могут быть другими, но близкими к цифре 0,05 Гкал/м3.
К примеру, в моей квитанции на подогрев горячей воды стоит 0,049 Гкал/м3.
Калориями, исчисляется (ну или вычисляется, высчитывается) количество тепла которое надо затратить на подогрев одного грамма воды до температуры в один градус Цельсия.
Гигакаллория это уже миллиард калорий.
В кубе воды тысяча литров.
Получается что для нагрева одного куба воды до одного градуса Цельсия, потребуется 0,001 Гкал.
Бойлер косвенного нагрева не имеет своего нагревательного элемента, к нему нужен котёл, хотя есть варианты от центрального отопления.
В любом случае дешевле (в эксплуатации) проточный газовый водонагреватель (газовая колонка, в народе), или бойлер накопительный, ибо Вы пишите о квартире.
Бойлер косвенного нагрева отличный вариант, в частных домах.
Или если у Вас в квартире, автономная система отопления (отказались от центральной), в этом случае котёл (чаще газовый, реже электро) и бойлер косвенного нагрева

Есть определённые физические расчёты, которые гласят о том, что для повышения температуры воды в размере 1 литра на 1 градус Цельсия, надо затратить 4,187 кДж.
Для точного расчёта стоимости подогрева необходимо знать некоторые вводные цифры, такие как:
- Температура воды в центральной системе отопления, так называемый теплоноситель (она кстати не может быть точной, так как не во всех домах стоят подогреватели)
- Температура воды забора на подаче (как правило холодная вода, которая в системе водоснабжения также не может быть стабильной)
Как правило температура в центральной системе отопления порядка 85-90 градусов.
Температура холодной воды в водоснабжении ниже 20 градусов.
Комфортная температура для мытья примерно 35-40 градусов.
По сути на один куб (1000 литров) надо затратить для нагрева на 1 градус 4187 кДж.
С 20 градусов поднять до 40 градусов изначально холодную воду понадобится 83740 кДж (что-то чуть больше 200000 Гкал).
Человечеству известно немного видов энергии – механическая энергия (кинетическая и потенциальная), внутренняя энергия (тепловая), энергия полей (гравитационная, электромагнитная и ядерная), химическая. Отдельно стоит выделить энергию взрыва,…
Энергию вакуума и еще существующую только в теории – темную энергию. В этой статье, первой в рубрике «Теплотехника», я попытаюсь на простом и доступном языке, используя практический пример, рассказать о важнейшем виде энергии в жизни людей — о тепловой энергии и о рождающей ее во времени тепловой мощности.
Несколько слов для понимания места теплотехники, как раздела науки о получении, передаче и применении тепловой энергии. Современная теплотехника выделилась из общей термодинамики, которая в свою очередь является одним из разделов физики. Термодинамика – это дословно «теплый» плюс «силовой». Таким образом, термодинамика – это наука об «изменении температуры» системы.
Воздействие на систему извне, при котором изменяется ее внутренняя энергия, может являться результатом теплообмена. Тепловая энергия, которая приобретается или теряется системой в результате такого взаимодействия с окружающей средой, называется количеством теплоты и измеряется в системе СИ в Джоулях.
Если вы не инженер-теплотехник, и ежедневно не занимаетесь теплотехническими вопросами, то вам, столкнувшись с ними, иногда без опыта бывает очень трудно быстро в них разобраться. Трудно без наличия опыта представить даже размерность искомых значений количества теплоты и тепловой мощности. Сколько Джоулей энергии необходимо чтобы нагреть 1000 метров кубических воздуха от температуры -37˚С до +18˚С?.. Какая нужна мощность источника тепла, чтобы сделать это за 1 час?.. На эти не самые сложные вопросы способны сегодня ответить «сходу» далеко не все инженеры. Иногда специалисты даже помнят формулы, но применить их на практике могут лишь единицы!
Прочитав до конца эту статью, вы сможете легко решать реальные производственные и бытовые задачи, связанные с нагревом и охлаждением различных материалов. Понимание физической сути процессов теплопередачи и знание простых основных формул – это главные блоки в фундаменте знаний по теплотехнике!
Количество теплоты при различных физических процессах.
Большинство известных веществ могут при разных температуре и давлении находиться в твердом, жидком, газообразном или плазменном состояниях. Переход из одного агрегатного состояния в другое происходит при постоянной температуре (при условии, что не меняются давление и другие параметры окружающей среды) и сопровождается поглощением или выделением тепловой энергии. Не смотря на то, что во Вселенной 99% вещества находится в состоянии плазмы, мы в этой статье не будем рассматривать это агрегатное состояние.
Рассмотрим график, представленный на рисунке. На нем изображена зависимость температуры вещества Т от количества теплоты Q, подведенного к некой закрытой системе, содержащей определенную массу какого-то конкретного вещества.

1. Твердое тело, имеющее температуру T1, нагреваем до температуры Tпл, затрачивая на этот процесс количество теплоты равное Q1.
2. Далее начинается процесс плавления, который происходит при постоянной температуре Тпл (температуре плавления). Для расплавления всей массы твердого тела необходимо затратить тепловой энергии в количестве Q2—Q1.
3. Далее жидкость, получившаяся в результате плавления твердого тела, нагреваем до температуры кипения (газообразования) Ткп, затрачивая на это количество теплоты равное Q3—Q2.
4. Теперь при неизменной температуре кипения Ткп жидкость кипит и испаряется, превращаясь в газ. Для перехода всей массы жидкости в газ необходимо затратить тепловую энергию в количестве Q4—Q3.
5. На последнем этапе происходит нагрев газа от температуры Ткп до некоторой температуры Т2. При этом затраты количества теплоты составят Q5—Q4. (Если нагреем газ до температуры ионизации, то газ превратится в плазму.)
Таким образом, нагревая исходное твердое тело от температуры Т1 до температуры Т2 мы затратили тепловую энергию в количестве Q5, переводя вещество через три агрегатных состояния.
Двигаясь в обратном направлении, мы отведем от вещества то же количество тепла Q5, пройдя этапы конденсации, кристаллизации и остывания от температуры Т2 до температуры Т1. Разумеется, мы рассматриваем замкнутую систему без потерь энергии во внешнюю среду.
Заметим, что возможен переход из твердого состояния в газообразное состояние, минуя жидкую фазу. Такой процесс именуется возгонкой, а обратный ему процесс – десублимацией.
Итак, уяснили, что процессы переходов между агрегатными состояниями вещества характеризуются потреблением энергии при неизменной температуре. При нагреве вещества, находящегося в одном неизменном агрегатном состоянии, повышается температура и также расходуется тепловая энергия.
Главные формулы теплопередачи.
Формулы очень просты.
Количество теплоты Q в Дж рассчитывается по формулам:
1. Со стороны потребления тепла, то есть со стороны нагрузки:
1.1. При нагревании (охлаждении):
Q=m*c*(Т2-Т1)
m –масса вещества в кг
с –удельная теплоемкость вещества в Дж/(кг*К)
1.2. При плавлении (замерзании):
Q=m*λ
λ –удельная теплота плавления и кристаллизации вещества в Дж/кг
1.3. При кипении, испарении (конденсации):
Q=m*r
r –удельная теплота газообразования и конденсации вещества в Дж/кг
2. Со стороны производства тепла, то есть со стороны источника:
2.1. При сгорании топлива:
Q=m*q
q –удельная теплота сгорания топлива в Дж/кг
2.2. При превращении электроэнергии в тепловую энергию (закон Джоуля — Ленца):
Q=t*I*U=t*R*I^2=(t/R)*U^2
t –время в с
I –действующее значение тока в А
U –действующее значение напряжения в В
R –сопротивление нагрузки в Ом
Делаем вывод – количество теплоты прямо пропорционально массе вещества при всех фазовых превращениях и при нагреве дополнительно прямо пропорционально разности температур. Коэффициенты пропорциональности (c, λ,r,q) для каждого вещества имеют свои значения и определены опытным путем (берутся из справочников).
Тепловая мощностьN в Вт – это количество теплоты переданное системе за определенное время:
N=Q/t
Чем быстрее мы хотим нагреть тело до определенной температуры, тем большей мощности должен быть источник тепловой энергии – все логично.
Расчет в Excel прикладной задачи.
В жизни бывает часто необходимо сделать быстрый оценочный расчет, чтобы понять – имеет ли смысл продолжать изучение темы, делая проект и развернутые точные трудоемкие расчеты. Сделав за несколько минут расчет даже с точностью ±30%, можно принять важное управленческое решение, которое будет в 100 раз более дешевым и в 1000 раз более оперативным и в итоге в 100000 раз более эффективным, чем выполнение точного расчета в течение недели, а то и месяца, группой дорогостоящих специалистов…
Условия задачи:
В помещение цеха подготовки металлопроката размерами 24м х 15м х 7м завозим со склада на улице металлопрокат в количестве 3т. На металлопрокате есть лед общей массой 20кг. На улице -37˚С. Какое количество теплоты необходимо, чтобы нагреть металл до +18˚С; нагреть лед, растопить его и нагреть воду до +18˚С; нагреть весь объем воздуха в помещении, если предположить, что до этого отопление было полностью отключено? Какую мощность должна иметь система отопления, если все вышесказанное необходимо выполнить за 1час? (Очень жесткие и почти не реальные условия – особенно касающиеся воздуха!)
Расчет выполним в программеMS Excelили в программеOOo Calc.
С цветовым форматированием ячеек и шрифтов ознакомьтесь на странице « ».
Исходные данные:
1. Названия веществ пишем:
в ячейку D3: Сталь
в ячейку E3: Лед
в ячейку F3: Лед/вода
в ячейку G3: Вода
в ячейку G3: Воздух
2. Названия процессов заносим:
в ячейки D4, E4, G4, G4: нагрев
в ячейку F4: таяние
3. Удельную теплоемкость веществ cв Дж/(кг*К) пишем для стали, льда, воды и воздуха соответственно
в ячейку D5: 460
в ячейку E5: 2110
в ячейку G5: 4190
в ячейку H5: 1005
4. Удельную теплоту плавления льда λв Дж/кг вписываем
в ячейку F6: 330000
5. Массу веществ mв кг вписываем соответственно для стали и льда
в ячейку D7: 3000
в ячейку E7: 20
Так как при превращении льда в воду масса не изменяется, то
в ячейках F7 и G7: =E7=20
Массу воздуха находим произведением объема помещения на удельный вес
в ячейке H7: =24*15*7*1,23=3100
6. Время процессов tв мин пишем только один раз для стали
в ячейку D8: 60
Значения времени для нагрева льда, его плавления и нагрева получившейся воды рассчитываются из условия, что все эти три процесса должны уложиться в сумме за такое же время, какое отведено на нагрев металла. Считываем соответственно
в ячейке E8: =E12/(($E$12+$F$12+$G$12)/D8)=9,7
в ячейке F8: =F12/(($E$12+$F$12+$G$12)/D8)=41,0
в ячейке G8: =G12/(($E$12+$F$12+$G$12)/D8)=9,4
Воздух также должен прогреться за это же самое отведенное время, читаем
в ячейке H8: =D8=60,0
7. Начальную температуру всех веществ T1в ˚C заносим
в ячейку D9: -37
в ячейку E9: -37
в ячейку F9: 0
в ячейку G9: 0
в ячейку H9: -37
8. Конечную температуру всех веществ T2в ˚C заносим
в ячейку D10: 18
в ячейку E10: 0
в ячейку F10: 0
в ячейку G10: 18
в ячейку H10: 18
Думаю, вопросов по п.7 и п.8 быть недолжно.

Результаты расчетов:
9.Количество теплоты Q в КДж, необходимое для каждого из процессов рассчитываем
для нагрева стали в ячейке D12: =D7*D5*(D10-D9)/1000=75900
для нагрева льда в ячейке E12: =E7*E5*(E10-E9)/1000= 1561
для плавления льда в ячейке F12: =F7*F6/1000= 6600
для нагрева воды в ячейке G12: =G7*G5*(G10-G9)/1000= 1508
для нагрева воздуха в ячейке H12: =H7*H5*(H10-H9)/1000= 171330
Общее количество необходимой для всех процессов тепловой энергии считываем
в объединенной ячейке D13E13F13G13H13: =СУММ(D12:H12) = 256900
В ячейках D14, E14, F14, G14, H14, и объединенной ячейке D15E15F15G15H15 количество теплоты приведено в дугой единице измерения – в ГКал (в гигакалориях).
10. Тепловая мощность N в КВт, необходимая для каждого из процессов рассчитывается
для нагрева стали в ячейке D16: =D12/(D8*60)=21,083
для нагрева льда в ячейке E16: =E12/(E8*60)= 2,686
для плавления льда в ячейке F16: =F12/(F8*60)= 2,686
для нагрева воды в ячейке G16: =G12/(G8*60)= 2,686
для нагрева воздуха в ячейке H16: =H12/(H8*60)= 47,592
Суммарная тепловая мощность необходимая для выполнения всех процессов за время t рассчитывается
в объединенной ячейке D17E17F17G17H17: =D13/(D8*60) = 71,361
В ячейках D18, E18, F18, G18, H18, и объединенной ячейке D19E19F19G19H19 тепловая мощность приведена в дугой единице измерения – в Гкал/час.
На этом расчет в Excel завершен.
Выводы:
Обратите внимание, что для нагрева воздуха необходимо более чем в два раза больше затратить энергии, чем для нагрева такой же массы стали.
При нагреве воды затраты энергии в два раза больше, чем при нагреве льда. Процесс плавления многократно больше потребляет энергии, чем процесс нагрева (при небольшой разности температур).
Нагрев воды в десять раз затрачивает больше тепловой энергии, чем нагрев стали и в четыре раза больше, чем нагрев воздуха.
Для получения информации о выходе новых статей и для скачивания рабочих файлов программпрошу вас подписаться на анонсы в окне, расположенном в конце статьи или в окне вверху страницы.
После ввода адреса своей электронной почты и нажатия на кнопку «Получать анонсы статей»НЕ ЗАБУДЬТЕПОДТВЕРДИТЬ ПОДПИСКУ кликом по ссылкев письме, которое тут же придет к вам на указанную почту (иногда — в папку«Спам»)!
Мы вспомнили понятия «количество теплоты» и «тепловая мощность», рассмотрели фундаментальные формулы теплопередачи, разобрали практический пример. Надеюсь, что мой язык был прост, понятен и интересен.
Жду вопросы и комментарии на статью!
ПрошуУВАЖАЮЩИХ труд автора скачать файлПОСЛЕ ПОДПИСКИ на анонсы статей.
730. Почему для охлаждения некоторых механизмов применяют воду?Вода обладает большой удельной теплоемкостью, что способствует хорошему отводу тепла от механизма.
731. В каком случае нужно затратить больше энергии: для нагревания на 1 °С одного литра воды или для нагревания на 1 °С ста граммов воды?Для нагрева литра воды, так как чем больше масса, тем больше нужно затратить энергии.
732. Мельхиоровую и серебряную вилки одинаковой массы опустили в горячую воду. Одинаковое ли количество теплоты они получат воды?Мельхиоровая вилка получит больше теплоты, потому что удельная теплоемкость мельхиора больше, чем серебра.
733. По куску свинца и по куску чугуна одинаковой массы три раза ударили кувалдой. Какой кусок сильнее нагрелся?Свинец нагреется сильнее, потому что его удельная теплоемкость меньше, чем чугуна, и для нагрева свинца нужно меньше энергии.
734. В одной колбе находится вода, в другой – керосин той же массы и температуры. В каждую колбу бросили по одинаково нагретому железному кубику. Что нагреется до более высокой температуры – вода или керосин?Керосин.
735. Почему в городах на берегу моря колебания температуры зимой и летом менее резки, чем в городах, расположенных в глубине материка?Вода нагревается и остывает медленнее, чем воздух. Зимой она остывает и двигает теплые массы воздуха на сушу, делая климат на берегу более теплым.
736. Удельная теплоемкость алюминия равна 920 Дж/кг °С. Что это означает?Это означает, что для нагрева 1 кг алюминия на 1 °С необходимо затратить 920 Дж.
737. Алюминиевый и медный бруски одинаковой массы 1 кг охлаждают на 1 °С. На сколько изменится внутренняя энергия каждого бруска? У какого бруска она изменится больше и на сколько?
738. Какое количество теплоты необходимо для нагрева килограммовой железной заготовки на 45 °С?

739. Какое количество теплоты требуется, чтобы нагреть 0,25 кг воды с 30 °С до 50 °С?

740. Как изменится внутренняя энергия двух литров воды при нагревании на 5 °С?

741. Какое количество теплоты необходимо для нагрева 5 г воды от 20 °С до 30 °С?

742. Какое количество теплоты необходимо для нагревания алюминиевого шарика массой 0,03 кг на 72 °С?

743. Рассчитайте количество теплоты, необходимое для нагрева 15 кг меди на 80 °С.

744. Рассчитайте количество теплоты, необходимое для нагрева 5 кг меди от 10 °С до 200 °С.

745. Какое количество теплоты требуется для нагрева 0,2 кг воды от 15 °С до 20 °С?

746. Вода массой 0,3 кг остыла на 20 °С. На сколько уменьшилась внутренняя энергия воды?

747. Какое количество теплоты нужно, чтобы 0,4 кг воды при температуре 20 °С нагреть до температуры 30 °С?

748. Какое количество теплоты затрачено на нагрев 2,5 кг воды на 20 °С?

749. Какое количество теплоты выделилось при остывании 250 г воды от 90 °С до 40 °С?

750. Какое количество теплоты потребуется для того, чтобы 0,015 л воды нагреть на 1 °С?

751. Рассчитайте количество теплоты, необходимое, чтобы нагреть пруд объемом 300 м3 на 10 °С?

752. Какое количество теплоты нужно сообщить 1 кг воды, чтобы повысить ее температуру от 30 °С до 40 °С?

753. Вода объемом 10 л остыла от температуры 100 °С до температуры 40 °С. Какое количество теплоты выделилось при этом?

754. Рассчитайте количество теплоты, необходимое для нагрева 1 м3 песка на 60 °С.

755. Объем воздуха 60 м3, удельная теплоемкость 1000 Дж/кг °С, плотность воздуха 1,29 кг/м3. Какое количество теплоты необходимо, чтобы нагреть его на 22 °С?

756. Воду нагрели на 10 °С, затратив 4,20 103 Дж теплоты. Определите количество воды.

757. Воде массой 0,5 кг сообщили 20,95 кДж теплоты. Какой стала температура воды, если первоначальная температура воды была 20 °С?

758. В медную кастрюлю массой 2,5 кг налито 8 кг воды при 10 °С. Какое количество теплоты необходимо, чтобы воду в кастрюле нагреть до кипения?
759. Литр воды при температуре 15 °С налит в медный ковшик массой 300 г. Какое количество теплоты необходимо, чтобы нагреть воду в ковшике на 85 °С?

760. Кусок нагретого гранита массой 3 кг помещают в воду. Гранит передает воде 12,6 кДж теплоты, охлаждаясь на 10 °С. Какова удельная теплоемкость камня?

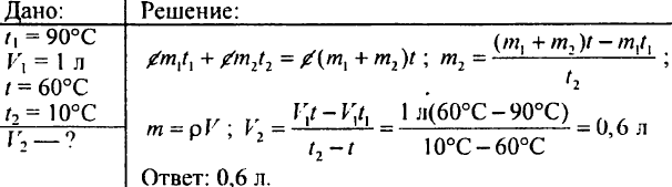
761. К 5 кг воды при 12 °С долили горячую воду при 50 °С, получив смесь температурой 30 °С. Сколько воды долили?

762. В 3 л воды при 60 °С долили воду при 20 °С, получив воду при 40 °С. Сколько воды долили?

763. Какова будет температура смеси, если смешать 600 г воды при 80 °С с 200 г воды при 20 °С?

764. Литр воды при 90 °С влили в воду при 10 °С, причем температура воды стала 60 °С. Сколько было холодной воды?

765. Определите, сколько надо налить в сосуд горячей воды, нагретой до 60 °С, если в сосуде уже находится 20 л холодной воды при температуре 15 °С; температура смеси должна быть 40 °С.

766. Определите, какое количество теплоты требуется для нагревания 425 г воды на 20 °С.

767. На сколько градусов нагреются 5 кг воды, если вода получит 167,2 кДж?

768. Сколько потребуется тепла, чтобы m граммов воды при температуре t1, нагреть до температуры t2?
769. В калориметр налито 2 кг воды при температуре 15 °С. До какой температуры нагреется вода калориметра, если в нее опустить латунную гирю в 500 г, нагретую до 100 °С? Удельная теплоемкость латуни 0,37 кДж/(кг °С).

770. Имеются одинакового объема куски меди, олова и алюминия. Какой из этих кусков обладает наибольшей и какой наименьшей теплоемкостью?

771. В калориметр было налито 450 г воды, температура которой 20 °С. Когда в эту воду погрузили 200 г железных опилок, нагретых до 100 °С, температура воды стала 24 °С. Определите удельную теплоемкость опилок.

772. Медный калориметр весом 100 г вмещает 738 г воды, температура которой 15 °С. В этот калориметр опустили 200 г меди при температуре 100 °С, после чего температура калориметра поднялась до 17 °С. Какова удельная теплоемкость меди?

773. Стальной шарик массой 10 г вынут из печи и опущен в воду с температурой 10 °С. Температура воды поднялась до 25 °С. Какова была температура шарика в печи, если масса воды 50 г? Удельная теплоемкость стали 0,5 кДж/(кг °С). 776. Воду массой 0,95 г при температуре 80 °С смешали с водой массой 0,15 г при температуре 15 °С. Определите температуру смеси.779. Стальной резец массой 2 кг был нагрет до температуры 800 °С и затем опущен в сосуд, содержащий 15 л воды при температуре 10 °С. До какой температуры нагреется вода в сосуде?

(Указание. Для решения данной задачи необходимо составить уравнение, в котором за неизвестное принять искомую температуру воды в сосуде после опускания резца.)
780. Какой температуры получится вода, если смешать 0,02 кг воды при 15 °С, 0,03 кг воды при 25 °С и 0,01 кг воды при 60 °С?

781. Для отопления хорошо вентилируемого класса требуется количество теплоты 4,19 МДж в час. Вода поступает в радиаторы отопления при 80 °С, а выходит из них при 72 °С. Сколько воды нужно подавать каждый час в радиаторы?

782. Свинец массой 0,1 кг при температуре 100 °С погрузили в алюминиевый калориметр массой 0,04 кг, содержащий 0,24 кг воды при температуре 15 °С. После чего в калориметре установилась температура 16 °С. Какова удельная теплоемкость свинца?

(или теплопередаче).
Удельная теплоемкость вещества.
Теплоемкость — это количество теплоты, поглощаемой телом при нагревании на 1 градус .
Теплоемкость тела обозначается заглавной латинской буквой С.
От чего зависит теплоемкость тела? Прежде всего, от его массы . Ясно, что для нагрева, напри-мер, 1 килограмма воды потребуется больше тепла, чем для нагрева 200 граммов .
А от рода вещества? Проделаем опыт. Возьмем два одинаковых сосуда и, налив в один из них воду массой 400 , а в другой — растительное масло массой 400 г, начнем их нагревать с помощью одинаковых горелок. Наблюдая за показаниями термометров, мы увидим, что масло нагревается быстрое. Чтобы нагреть воду и масло до одной и той же температуры, воду следует нагревать дольше. Но чем дольше мы нагреваем воду, тем большее количество теплоты она получает от горелки.
Таким образом, для нагревания одной и той же массы разных веществ до одинаковой темпе-ратуры требуется разное количество теплоты. Количество теплоты, необходимое для нагревания тела и, следовательно, его теплоемкость зависят от рода вещества, из которого состоит это тело.
Так, например, чтобы увеличить на 1°С температуру воды массой 1 кг , требуется количество теплоты, равное 4200 Дж , а для нагревания на 1 °С такой же массы подсолнечного масла необхо-димо количество теплоты, равное 1700 Дж.
Физическая величина, показывающая, какое количество теплоты требуется для нагревания 1 кг вещества на 1 ºС, называется удельной теплоемкостью этого вещества.
У каждого вещества своя удельная теплоемкость, которая обозначается латинской буквой с и измеряется в джоулях на килограмм-градус (Дж/(кг ·°С)).
Удельная теплоемкость одного и того же вещества в разных агрегатных состояниях (твердом, жидком и газообразном) различна. Например, удельная теплоемкость воды равна 4200 Дж/(кг · ºС), а удельная теплоемкость льда 2100 Дж/(кг · °С); алюминий в твердом состоянии имеет удельную теплоемкость, равную 920 Дж/(кг — °С), а в жидком — 1080 Дж/(кг — °С).
Заметим, что вода имеет очень большую удельную теплоемкость. Поэтому вода в морях и океанах, нагреваясь летом, поглощает из воздуха большое количество тепла. Благодаря этому в тех местах, которые расположены вблизи больших водоемов, лето не бывает таким жарким, как в местах, удаленных от воды.
Расчет количества теплоты, необходимого для нагревания тела или выделяемого им при охлаждении.
Из вышеизложенного ясно, что количество теплоты, необходимое для нагревания тела, зависит от рода вещества, из которого состоит тело (т. е. его удельной теплоемкости), и от массы тела. Ясно также, что количество теплоты зависит от того, на сколько градусов мы собираемся увеличить температуру тела.
Итак, чтобы определить количество теплоты, необходимое для нагревания тела или выделяемое им при охлаждении, нужно удельную теплоемкость тела умножить на его массу и на разность между его конечной и начальной температурами:
Q =cm (t 2—t 1),
где Q — количество теплоты, c — удельная теплоемкость, m — масса тела , t 1 — начальная темпе-ратура, t 2 — конечная температура.
При нагревании тела t 2 > t 1 и, следовательно, Q > 0. При охлаждении тела t 2иt 1 и, следовательно, Q .
В случае, если известна теплоемкость всего тела С, Q определяется по формуле:
Q = C (t 2 — t 1).
