Нормы > Все про заземление
РАСЧЕТ ЗАЗЕМЛЯЮЩИХ УСТРОЙСТВ
Расчет заземляющих устройств сводится главным образом к расчету собственно заземлителя, так как заземляющие проводники в большинстве случаев принимаются по условиям механической прочности и устойчивости к коррозии. Исключение составляют лишь установки с выносным заземляющим устройством. В этих случаях рассчитывают последовательно сопротивление соединительной линии и сопротивление заземлителя, чтобы суммарное сопротивление не превышало расчетного.Расчет сопротивления заземлителя проводится в следующем порядке:1. Устанавливается необходимое по ПУЭ допустимое сопротивление заземляющего устройства. Если заземляющее устройство является общим для нескольких электроустановок, то расчетным сопротивлением заземляющего устройства является наименьшее из требуемых.2. Определяется необходимое сопротивление искусственного заземлителя с учетом использования естественного заземлителя, включенного параллельно, из выражений
![]()
где — расчетное сопротивление заземляющего устройства по п. 1; — сопротивление искусственного заземлителя; — сопротивление естественного заземлителя.3. Определяется расчетное удельное сопротивление грунта с учетом повышающих коэффициентов, учитывающих высыхание грунта летом и промерзание его зимой.При отсутствии точных данных о грунте можно воспользоваться табл. 12-1, где приведены средние данные по сопротивлениям грунтов, рекомендуемые для предварительных расчетов.
Таблица 12-1 Удельное сопротивление грунтов
Наименование грунта
Удельное сопротивлениеr, ОмЧм
Наименование грунта
Удельное сопротивлениеr, ОмЧм
Глина (слой 7-10 м, далее скала, гравий)Глина каменистая (слой 1-3 м, далее гравий)Земля садоваяИзвестнякЛессМергельПесокПесок крупнозернистый с валунамиСкала
70100502000250200050010004000
СуглинокСупесокТорфЧерноземВода:грунтоваяморскаяпрудоваяречная
100300203050350100
Примечание: Удельные сопротивления грунтов определены при влажности 10-20% к массе и на глубине 1,5 м.
Повышающие коэффициентыk для различных климатических зон приведены в табл. 12-2 для горизонтальных и вертикальных электродов.4. Определяется сопротивление растеканию одного вертикального электрода по формулам из табл. 12-3. Эти формулы даны для стержневых электродов из круглой стали или труб. При применении углов для вертикальных электродов в качестве диаметра подставляется эквивалентный диаметр уголка
гдеb — ширина сторон уголка.
Таблица 12-2Значения коэффициента k для различных климатических зон
Данные, характерезующие климатические зоны и тип применяемых электродов
Климатические зоны
1. Климатические признаки зон:Средняя многолетняя температура(январь), °ССредняя многолетняя высшая температура (июль), °ССреднее количество осадков, смПродолжительность замерзания вод, дни2. Коэффициентkа) при применении стержневых электродов длиной 2-3 м и глубине заложения их вершин 0,5-0,8 мб) при применении протяженных электродов и глубине заложения их вершин 0,8 м
От -20 до -15
Oт +16 до +1840190-1701,8-2,04,5-7,0
От -14 до -10
От +18 до +22501501,5-1,83,5-4,5
От -10 до 0
От +22 до +24501001,4-1,62,0-2,5
От 0 до +5
От +24 до +2630-5001,2-1,4
Таблица 12-3Расчет сопротивлений растеканию одного электрода
Тип заземлителя
Расположение заземлителя
Формула
Пояснения
Вертикальный у поверхности земли

Вертикальный ниже уровня земли

![]()
Горизонтальный протяженный ниже уровня земли

b — ширина полосы; если землитель круглый диаметромd, тоb=2d
Пластинчатый вертикальный ниже уровня земли

a иb — размеры сторон пластины
Кольцевой горизонтальный ниже уровня земли

![]()
b -ширина полосы; если заземлитель круглый диаметромd, то b=2d
5. Определяется примерное число вертикальных заземлителейn при предварительно принятом коэффициенте использования:
![]()
где — необходимое сопротивление искусственного заземлителя.Коэффициенты использования вертикальных заземлителей даны в табл. 12-4 в случае расположения их в ряд и в табл. 12-5 в случае размещения их по контуру без учета влияния горизонтальных электродов связи.6. Определяется сопротивление растеканию горизонтальных электродов по формулам из табл. 12-3. Коэффициенты использования горизонтальных электродов для предварительно принятого числа вертикальных электродов принимаются по табл. 12-6 при расположении их в ряд и по табл. 12-7 при расположении их по контуру.
Таблица 12-4Коэффициенты использования вертикальных электродов
электродами к их длине
235101520
0,84-0,870,76-0,800,67-0,720,56-0,620,51-0,560,47-0,50
235101520
0,90-0,920,85-0380,79-0,830,72-0,770,66-0,730,65-0,70
235101520
0,93-0,950,90-0,920,85-0,880,79-0,830,71-0,800,74-0,79
Таблица 12-5Коэффициенты использования вертикальных электродов
Отношение расстояния между вертикальнымиэлектродами к их длине
Число вертикальных электродов в ряду
4610201060100
0,66-0,720,58-0,650,52-0,580,44-0,500,38-0,440,36-0,420,33-0,39
4610201060100
0,76-0,80071-0,750,66-0,710,61-0,660,55-0,610,52-0,580,49-0,55
4610201060100
0,84-0,860,78-0,820,74-0,780,68-0,730,64-0,690,62-0,670,59-0,65
Таблица 12-6 Коэффициенты использования горизонтальных электродов
Коэффициент использования при числе вертикальных электродов в рядуn
123
0,770,890,92
0,740,860,90
0,670,790,85
0,620,750,82
0,420,560,68
0,310,160,58
0,210,360,49
0,200,340,47
Таблица 12-7 Коэффициенты использования горизонтальных электродов
Отношение рассюииия между вертикальными электродами к их длине
Коэффициент использования при числе вертикальных электродов в контуреn
123
0,450,550,70
0,400,480,64
0,360,480,60
0,340,400,56
0,270,320,45
0,240,300,41
0,210,280,37
0,200,260,35
0,100,240,33
7. Уточняется необходимое сопротивление вертикальных электродов с учетом проводимости горизонтальных соединительных электродов из выражений
![]()
![]()
где — сопротивление растеканию горизонтальных электродов, определенное в п. 6.8. Уточняется число вертикальных электродов с учетом коэффициентов использования по табл. 12-4 или 12-5:
Окончательно принимается число вертикальных электродов из условий размещения.9. Для установок выше 1000 В с большими токами замыкания на землю проверяется термическая стойкость соединительных проводников по формуле (12-5).
Пример 12-1. Требуется рассчитать заземление подстанции 110/10 кВ со следующими данными: наибольший ток через заземление при замыканиях на землю на стороне 100 кВ 3,2 кА; наибольший ток через заземление при замыканиях на землю на стороне 10 кВ 42 А; грунт в месте сооружения подстанции — суглинок; климатическая зона 2; дополнительно в качестве заземления используется система тросы — опоры с сопротивлением заземления 1,2 Ом.
Решение1. Для стороны 110 кВ требуется сопротивление заземления 0,5 Ом. Для стороны 10 кВ по формуле (12-6)
![]()
где расчетное напряжение на заземляющем устройстве принято равным 125 В, так как заземляющее устройство используется также для установок подстанции до 1000 В. Таким образом, в качестве расчетного принимается сопротивление.2. Сопротивление искусственного заземлителя рассчитывается с учетом использования системы тросы — опоры;
3. Рекомендуемое для предварительных расчетов удельное сопротивление грунта в месте сооружения заземлителя — суглинке по приведенным выше данным составляет 100 ОмЧм. Повышающие коэффициенты для климатической зоны 2 по табл. 12 2 принимаются равными 4,5 для горизонтальных протяженных электродов при глубине заложения 0,8 м и 1,8 для вертикальных стержневых электродов длиной 2-3 м при глубине заложения их вершины 0,5-0,8 м.Расчетные удельные сопротивления:для горизонтальных электродовдля вертикальных электродов4. Определяется сопротивление растеканию одного вертикального электрода — уголка № 50 длиной 2,5 м при погружении ниже уровня земли на 0,7 м по формуле из табл. 12-3:
![]()
где
![]()
6. Определяется сопротивление растеканию горизонтальных электродов — полос 40 X 4 мм2, приваренных к верхним концам уголков. Коэффициент использования соединительной полосы в контуре при числе уголков порядка 100 и отношении по табл. 12-7 равен:.Сопротивление растеканию полосы по формуле из табл. 12-3
7. Уточненное сопротивление вертикальных электродов
![]()
Принятом из табл. 12-5 приn=100 и:
![]()
Окончательно принимается 117 уголков.Дополнительно к контуру на территории подстанции устраивается сетка из продольных полос, расположенных на расстоянии 0,8-1 м от оборудования, с поперечными связями через каждые 6 м. Дополнительно для выравнивания потенциалов у входов и въездов, а также по краям контура прокладываются углубленные полосы. Эти неучтенные горизонтальные электроды уменьшают общее сопротивление заземления; проводимость их идет в запас.9. Проверяется термическая стойкость полосы 40 X 4 мм2. Минимальное сечение полосы из условий термической стойкости при к. з. на землю по формуле (12-5) при приведенном времени прохождения тока к. з.
![]()
Таким образом, полоса 40 X 4 мм2 условию термической стойкости удовлетворяет.
По результатам примера 12-1 можно видеть, что при достаточно большом количестве вертикальных электродов горизонтальные электроды, соединяющие верхние концы вертикальных, весьма слабо влияют на результирующее расчетное сопротивление контура заземления. При этом также обнаруживается дефект существующей методики расчета для случаев, когда требуется достаточно малое сопротивление контура. В выполненном примерном расчете этот дефект выявился в том, что учет дополнительной проводимости контура от горизонтальной соединительной полосы привел не к уменьшению потребного количества вертикальных электродов, а наоборот, к его увеличению примерно на 5%. На основании этого можно рекомендовать в подобных случаях рассчитывать необходимое количество вертикальных электродов без учета дополнительной проводимости соединительных и других горизонтальных полос, полагая, что их проводимость будет идти в запас надежности.
Пример 12-2. Требуется рассчитать заземление подстанции с двумя трансформаторами 6/0,4 кВ мощностью 400 кВЧА со следующими данными: наибольший ток через заземление при замыкании на землю со стороны 6 кВ 18 А; грунт в месте сооружения — глина; климатическая зона 3; дополнительно в качестве заземления используется водопровод с сопротивлением растеканию 9 Ом.РешениеПредполагается сооружение заземлителя с внешней стороны здания, к которому примыкает подстанция, с расположением вертикальных электродов в один ряд на длине 20 м; материал — круглая сталь диаметром 20 мм, метод погружения — ввертыванием; верхние концы вертикальных стержней, погруженные на глубину 0,7 м, приварены к горизонтальному электроду из той же стали.1. Для стороны 6 кВ требуется сопротивление заземления, определяемое формулой (12-6) :
![]()
где расчетное напряжение на заземляющем устройстве принято равным 125 В, так как заземляющее устройство выполняется общим для сторон 6 и 0,4 кВ. Далее согласно ПУЭ сопротивление заземлителя не должно превышать 4 Ом.Расчетным, таким образом, является сопротивление заземления.2. Сопротивление искусственного заземлителя рассчитывается с учетом использовании водопровода в качестве параллельной ветви заземления:
3. Рекомендуемое для расчетов сопротивление грунта в месте сооружения заземлителя — глины по табл. 12-1 составляет 70 ОмЧм. Повышающие коэффициенты для климатической зоны 3 но табл. 12-2 принимаются равными 2,2 для горизонтальных электродов при глубине заложения 0,8 м и 1,5 для вертикальных электродов длиной 2—3 м при глубине заложения их вершины 0,5-0,8 м.Расчетные удельные сопротивления грунта:для горизонтальных электродовдля вертикальных электродов4. Определяется сопротивление растеканию одного стержня диаметром 20 мм и длиной 2 м при погружении ниже уровня земли на 0,7 м по формуле из табл. 12-3:
5. Определяется примерное число вертикальных заземлителей при предварительно принятом коэффициенте использования:
![]()
6. Определяется сопротивление растеканию горизонтального электрода из круглой стали диаметром 20 мм, приваренного к верхним концам вертикальных стержней. Коэффициент использовании горизонтального электрода в ряду из стержней при числе их примерно равном 5 и отношении расстояния между стержнями к длине стержня
в соответствии с табл. 12-6 принимается равным 0,86.Сопротивление растеканию горизонтального электрода по формуле из табл. 12-3
7. Уточненное сопротивление растеканию вертикальных электродов
![]()
8. Уточненное число вертикальных электродов определяется при коэффициенте использования, принятом из табл. 12-4 приn=4 и
:
раздел подготовлен согласно типового проекта СЕРИЯ 3.407-150Заземляющие устройства основы электороснабжения Требования к заземляющим устройствам основы электроснабжения Расчет заземляющих устройств основы электроснабженияЭлектрокоррозия подземных сетей блуждающими токами основы электроснабженияПовторное заземление нулевого провода на вводе в индивидуальный жилой дом
Расчет заземляющих устройств сводится главным образом к расчету собственно заземлителя, так как заземляющие проводники в большинстве случаев принимаются по условиям механической прочности и стойкости к коррозии по ПТЭ и ПУЭ. Исключение составляют лишь установки с выносным заземляющим устройством. В этих случаях рассчитываются последовательно включаемые сопротивления соединительной линии и заземлителя, так, чтобы их суммарное сопротивление не превышало допустимого.
Следует особо выделить вопросы расчета заземляющих устройств для заполярных и северо-восточных районов нашей страны. Для них характерны многомерзлые грунты, имеющие удельное сопротивление поверхностных слоев на один — два порядка выше, чем в обычных условиях средней полосы СССР.
Расчет сопротивления заземлителей в других районах СССР производится в следующем порядке:
1. Устанавливается необходимое по ПУЭ допустимое сопротивление заземляющего устройства r зм. Если заземляющее устройство является общим для нескольких электроустановок, то расчетным сопротивлением заземляющего устройства является наименьшее из требуемых.
2. Определяется необходимое сопротивление искусственного заземлителя с учетом использования естественных заземлителей, включенных параллельно, из выражений
(8-14)
где r зм -допустимое сопротивление заземляющего устройства по п. 1, R и-сопротивление искусственного заземлителя; R е-сопротивление естественного заземлителя. Определяется расчетное удельное сопротивление грунта расч с учетом повышающих коэффициентов, учитывающих высыхание грунта летом и промерзание зимой.
При отсутствии точных данных о грунте можно воспользоваться табл. 8-1, где приведены средние данные по сопротивлениям грунтов, рекомендуемые для предварительных расчетов.
Таблица 8-1
Средние удельные сопротивления грунтов и вод, рекомендуемые для предварительных расчетов

Примечание. Удельные сопротивления грунтов определены при влажности 10-20% к массе грунта
Измерение удельного сопротивления для получения более надежных результатов производят в теплое время года (май — октябрь) в средней полосе СССР. К измеренному значению удельного сопротивления грунта в зависимости от состояния грунта и от количества осадков вводятся поправочные коэффициенты к, учитывающие изменение вследствие высыхания и промерзания грунта, т. е. Р расч =Р к
4. Определяется сопротивление растеканию одного вертикального электрода R в.о. формулам табл. 8-3. Эти формулы даны для стержневых электродов из круглой стали или труб.
При применении вертикальных электродов из угловой стали в формулу вместо диаметра трубы подставляется эквивалентный диаметр уголка, вычисленный по выражению
(8-15)
где b — ширина сторон уголка.
5. Определяется примерное число вертикальных заземлителей при предварительно принятом коэффициенте использования
(8-16)
где R в.о. — сопротивление растеканию одного вертикального электрода, определенное в п. 4; R и — необходимое сопротивление искусственного заземлителя; К и,в,зм — коэффициент использования вертикальных заземлителей.
Таблица 8-2
Значение повышающего коэффициента к для различных климатических зон

Коэффициенты использования вертикальных заземлителей даны в табл. 8-4 при расположении их в ряд и в табл. 8-5 при размещении их по контуру
6. Определяется сопротивление растеканию горизонтальных электродов Rг по формулам табл. 8-3. Коэффициенты использования горизонтальных электродов для предварительно принятого числа вертикальных электродов принимаются по табл. 8-6 при расположении вертикальных электродов в ряд и по табл. 8-7 при расположении вертикальных электродов по контуру.
7. Уточняется необходимое сопротивление вертикальных электродов с учетом проводимости горизонтальных соединительных электродов из выражений
(8-17)
![]()
где R г — сопротивление растеканию горизонтальных электродов, определенное в п.6; R и — необходимое сопротивление искусственного заземлителя.
Таблица 8-3
Формулы для определения сопротивления растеканию тока различных заземлителей

Таблица 8-4
Коэффициенты использования вертикальных заземлителей, К и,в,зм, размещенных в ряд, без учета влияния горизонтальных электродов связи

Таблица 8-5
Коэффициенты использования вертикальных заземлителей, К и,в,зм, размещенных по контуру, без учета влияния горизонтальных электродов связи

Таблица 8-6
Коэффициенты использования К и,г,зм горизонтальных соединительных электродов, в ряду из вертикальных электродов

Таблица 8-7
Коэффициенты использования К и,г,зм вертикальных соединительных электродов в контуре из вертикальных электродов

8. Уточняется число вертикальных электродов с учетом коэффициентов использования по табл. 8-4 и 8-5:
![]()
Окончательно принимается число вертикальных электродов из условий размещения.
9. Для установок выше 1000 В с большими токами замыкания на землю проверяется термическая стойкость соединительных проводников по формуле (8-11).
Пример 1. Требуется рассчитать контурный заземлитель подстанции 110/10 кВ со следующими данными: наибольший ток через заземление при замыканиях на землю на стороне 110 кВ — 3,2 кА, наибольший ток через заземление при замыканиях на землю на стороне 10 кВ — 42 А; грунт в месте сооружения подстанции — суглинок; климатическая зона 2; дополнительно в качестве заземления используется система тросы — опоры с сопротивлением заземления 1,2 Ом.
Решение 1. Для стороны 110 кВ требуется сопротивление заземления 0,5 Ом, Для стороны 10 кВ по формуле (8-12) имеем:
![]()
где расчетное напряжение на заземляющем устройстве U расч принято равным 125 В, так как заземляющее устройство используется также и для установок подстанции напряжением до 1000 В.
Таким образом, в качестве расчетного принимается сопротивление rзм = 0,5 Ом.
2.Сопротивление искусственного заземлителя рассчитывается с учетом использования системы тросы-опоры
![]()
![]()
3. Рекомендуемое для предварительных расчетов удельное сопротивление грунта в месте сооружения заземлителя (суглинка) по табл. 8-1 составляет 1000 Ом м. Повышающие коэффициенты к для горизонтальных протяженных электродов при глубине заложения 0,8 м равны 4,5 и соответственно 1,8 для вертикальных стержневых электродов длиной 2 — 3 м при глубине заложения их вершины 0,5 — 0,8 м.
Расчетные удельные сопротивления: для горизонтальных электродов Р расч.г = 4,5х100 = 450 Ом м; для вертикальных электродов расч.в= 1,8х100 = 180 Ом м.
4. Определяется сопротивление растеканию одного вертикального электрода — уголка № 50 длиной 2,5 м при погружении ниже уровня земли на 0,7 м по формуле из табл. 8-3:

где d= d y,эд= 0,95; b = 0,95×0,95 = 0,0475 м; t =0,7 + 2,5/2 = 1,95 м;

5. Определяется примерное число вертикальных заземлителей при предварительно принятом коэффициенте использования К и,в,зм = 0,6:
![]()
6. Определяется сопротивление растеканию горизонтальных электродов (полосы 40х4 мм 2), приваренных к верхним концам уголков. Коэффициент использования соединительной полосы в контуре К и,г,зм при числе уголков примерно 100 и отношении a/l = 2 по табл. 8-7 равен 0,24. Сопротивление растеканию полосы по периметру контура (l = 500 м) по формуле из табл. 8-3 равно:

7. Уточненное сопротивление вертикальных электродов
![]()
8. Уточненное число вертикальных электродов определяется при коэффициенте использования К и, г, зм = 0,52, принятом из табл. 8-5 при n = 100 и a/l = 2:
![]()
Окончательно принимается 116 уголков.
Дополнительно к контуру на территории устраивается сетка из продольных полос, расположенных на расстоянии 0,8-1 м от оборудования, с поперечными связями через каждые 6 м. Дополнительно для выравнивания потенциалов у входов и въездов, а также по краям контура прокладываются углубленные полосы. Эти неучтенные горизонтальные электроды уменьшают общее сопротивление заземления, проводимость их идет в запас надежности.
9. Проверяется термическая стойкость полосы 40 × 4 мм 2 .
Минимальное сечение полосы из условий термической стойкости при к. з. на землю в формуле (8-11) при приведенном времени протекания тока к. з. tп = 1,1 равно:

Таким образом, полоса 40 × 4 мм 2 условию термической стойкости удовлетворяет.
Пример 2. Требуется рассчитать заземление подстанции с двумя трансформаторами 6/0,4 кВ мощностью 400 кВА со следующими данными: наибольший ток через заземление при замыкании на землю на стороне 6 кВ 18 А; грунт в месте сооружения — глина; климатическая зона 3; дополнительно в качестве заземления используется водопровод с сопротивлением растеканию 9 Ом.
Решение. Предполагается сооружение заземлителя с внешней стороны здания, к которому примыкает подстанция, с расположением вертикальных электродов в один ряд длиной 20 м; материал — круглая сталь диаметром 20 мм, метод погружения — ввертывание; верхние концы вертикальных стержней, погруженные на глубину 0,7 м, приварены к горизонтальному электроду из той же стали.
1. Для стороны 6 кВ требуется сопротивление заземления, определяемое формулой (8-12):

где расчетное напряжение на заземляющем устройстве принято равным 125 В, так как заземляющее устройство выполняется общим для сторон 6 и 0,4 кВ.
Согласно ПУЭ сопротивление заземления не должно превышать 4 Ом. Таким образом, расчетным является сопротивление заземления rзм = 4 Ом.
2. Сопротивление искусственного заземлителя рассчитывается с учетом использования водопровода в качестве параллельной ветви заземления

3. Рекомендуемое для расчетов сопротивление грунта в месте сооружения заземления (глина) по табл. 8-1 составляет 70 Ом*м. Повышающие коэффициенты к для 3-й климатической зоны по табл. 8-2 принимаются равными 2,2 для горизонтальных электродов при глубине заложения 0,7 м и 1,5 для вертикальных электродов длиной 2-3 м при глубине заложения их верхнего конца 0,5-0,8 м.
Расчетные удельные сопротивления грунта:
для горизонтальных электродов Р расч.г = 2,2 × 70 = 154 Ом*м;
для вертикальных электродов Р расч.в = 1,5х70 = 105 Ом*м.
4. Определяется сопротивление растеканию одного стержня диаметром 20 мм, длиной 2 м при погружении ниже уровня земли на 0,7 м по формуле из табл. 8-3:

5. Определяется примерное число вертикальных заземлителей при предварительно принятом коэффициенте использования К и. г. зм = 0,9
![]()
6. Определяется сопротивление растеканию горизонтального электрода из круглой стали диаметром 20 мм, приваренного к верхним концам вертикальных стержней.
Коэффициент использования горизонтального электрода в ряду из стержней при числе их примерно 6 и отношении расстояния между стержнями к длине стержнями a/l = 20/5х2 = 2 в соответствии с табл. 8-6 принимается равным 0,85.
Сопротивление растеканию горизонтального электрода определяется по формуле из табл. 8-3 и 8-8:
Таблица 8-8
Коэффициенты повышения сопротивления по отношению к измеренному удельному сопротивлению грунта (или сопротивлению заземления) для средней полосы СССР

Примечания:1) к 1 применяется, если измеренная величина Р (Rх) соответствует примерно минимальному значению (грунт влажный — времени измерений предшествовало выпадение большого количества осадков);
2) к2 применяется, если измеренная величина Р (Rх) соответствует примерно среднему значению (грунт средней влажности — времени измерений предшествовало выпадение небольшого количества осадков);
3) к3 применяется, если измеренная величина Р (Rх) соответствует примерно наибольшему значению (грунт сухой — времени измерений предшествовало выпадение незначительного количества осадков).
7. Уточненное сопротивление растеканию вертикальных электродов

8. Уточненное число вертикальных электродов определяется при коэффициенте использованияК и. г. зм= 0,83, принятом из табл. 8-4 при n = 5 и a/l= 20/2х4 = 2,5 (n = 5 вместо 6 принято из условия уменьшения числа вертикальных электродов при учете проводимости горизонтального электрода)

Окончательно принимается четыре вертикальных стержня, при этом сопротивление растеканию несколько меньше расчетного.
Выдержка из Справочника по электроснабжению промышленных предприятий
под общей редакцией А. А. Федорова и Г. В. Сербиновского
Заземление — одна из основных мер безопасности при использовании электрических приборов. В случае износа внутренней изоляции под напряжением может оказаться внешний корпус техники, при касании к которому может случится поражение электрическим током. Именно для предотвращения таких происшествий и организуется монтаж заземления. А чтобы защитная конструкция была максимально эффективной, необходимо провести её расчёт заземления, который может отличаться в зависимости от множества исходных факторов.
Виды заземляющих конструкций
Для организации заземления используются проводники из металлоконструкций различной формы (балка, труба, уголок и так далее). Эти базисные элементы могут быть использованы в одной из трёх основных систем:
- С использование одиночного глубинного заземлителя;
- Монтаж комплексной модульной конструкции;
- Организация электролитического заземления.
Вне зависимости от типа выбранной конструкции, её сопротивление должно укладываться в определённые рамки. Для трёхфазной сети на 380 Вольт сопротивление заземления должно составлять не более 4 Ом. Более распространённая однофазная сеть на 220 Вольт потребует не более 8 Ом. Также предварительные расчёты позволяют заранее определиться с количеством необходимых материалов, что даёт возможность существенно сэкономить.
Формула расчёта одиночного заземлителя
Существует ряд факторов, влияющих на окончательный результат расчёта заземляющей конструкции, а именно:
- Используемые материалы (решающие значение имеет вид металла, но немаловажным могут быть и показатели электролита);
- Форма элементов-электродов (влияет незначительно);
- Расстояние между элементами электродами;
- Глубина, на которую погружается монтируемый контур.
Необходимо отметить, что для получения системы, имеющий сопротивление в 4–8 Ом, применяемые металлические элементы должны обладать определёнными минимальными параметрами:
- Плоская балка — 12 мм в ширину, 4 мм в высоту;
- Уголок — 4 мм в высоту
- Шест — диаметр не менее 10 мм;
- Труба — толщина не менее 3.5 мм.
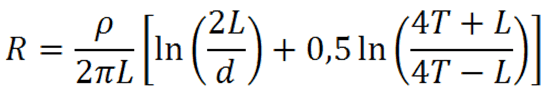
Расчёт защитного заземления можно провести при помощи специализированного программного обеспечения или онлайн-калькуляторов. Но для их правильного использования необходимо знать общую формулу, по которой проводятся вычисления и значение всех переменных. Традиционно в рассматриваемой формуле используются следующие обозначения:
- R — расчётное заземление (Ом);
- L — протяжённость заземляющего элемента-заземлителя (м);
- d — диаметр элемента (м);
- T — заглубление: расстояние между от середины каждого заземляющего элемента до поверхности грунта (м);
- ρ — сопротивление грунта (Ом×м). Смотрите таблицу.
- π — число Пи (3.14)
Расчёт такого типа контура заземления производится по такой формуле:


Измерить все перечисленные значения не составить большой трудности, за исключением разве что параметра ρ. Произвести эту процедуру можно самостоятельно при помощи Омметра, но нужно понимать, что полученные данные могут существенно изменяться при изменении температуры, влажности и других параметров окружающей среды. Поэтому гораздо удобнее будет воспользоваться усреднёнными табличными данными:
Формула расчёта системы заземлителей
С целью достижения оптимального значения сопротивления создаваемой конструкции одиночные заземлители можно расположить в ряд или сформировать из них замкнутый контур (круг, прямоугольник или любую другую фигуру). Для расчёта такого заземления в указанную выше формула войдут дополнительные параметры:
- R1 — искомое сопротивление (Ом);
- R — сопротивление, вычисленное по базовой формуле (Ом);
- N — число элементов в системе заземлителей;
- Ки — коэффициент использования.
О последнем параметре необходимо рассказать подробнее. Вокруг каждого электрода, используемого для заземления электрического тока, можно представить воображаемую зону, в которой его эффективность достигает 90 %. Она формируется из всех точек, удалённых от поверхности электрода на расстояние, равное его длине. При расчёте заземление необходимо избегать пересечения этих зон, что позволяет достичь максимального коэффициента полезного действия формируемой системы.

Для подсчётов удобнее всего пользоваться табличными значениями, полученных в результате практического применения формулы.
Сама же формула выглядит следующим образом:

Таким образом, если предварительно вычислить переменную и взять её за константу, то по данной формуле можно вычислить оптимальный набор электродов, необходимый для создания заземляющей конструкции:

При это стоит учитывать, что скорее всего полученное значение будет дробным, поэтому его необходимо будет округлить в большую сторону.
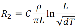
Формула расчёта электролитического заземления
В упрощённой модели электролитическую систему заземления можно описать как металлическую трубу, заполненную веществом-электролитом. Это вещество повышает сопротивление всей конструкции и, что более важно, способствует сохранению её параметров с течением времени. Это достигается за счёт того, что со временем электролит проникает в почву и накапливается в ней.

Помимо описанных выше параметров в формуле расчёта электролитического заземления используется параметр C, который описывает концентрацию электролита в почве. Его допустимые значения могут колебаться в промежутке между 0.5 и 0.05. Чем дольше рассматриваемая система находится в грунте, тем меньше становится значение этого параметра: если при начале установки он равнялся 0.5, то через полгода он составить всего 0.125 (но дальнейшее его падение прекратиться).
В этом случае требуемая формула будет такой:

Если в монтируемой системе присутствует несколько электродов электролитического типа, тогда её сопротивление может быть рассчитано по формуле из предыдущего раздела. С той лишь разницей, что коэффициент использования тут будет несколько иной:
В данной статье мы рассмотрели основные типы электрического заземления и все необходимые формулы для их расчёта. Очевидно, что в основе всех вычислений лежит расчёт контура одиночного заземления, в то время как два основных вида получаются при помощи его расширения и доработки. Стоит ещё раз указать на то, что большую одну из ключевых ролей в организации эффективного заземления играет расстояние между электродами, которое не должно быть меньше их отдельной длинны. Все приведённые выше вычисления можно существенно упростить, если воспользоваться специализированным программным обеспечением или онлайн-инструментами. Обладая минимум знаний о том, какие параметры участвуют в расчёте заземления, эти утилиты позволят существенно сократить время проведения работ, при этом обеспечивая довольно высокую точность.
Видео по теме
) для одиночного глубинного заземлителя на основе модульного заземления производится как расчет обычного вертикального заземлителя из металлического стержня диаметром 14,2 мм.
Формула расчета сопротивления заземления одиночного вертикального заземлителя:
где: ρ — удельное сопротивление грунта (Ом*м) L — длина заземлителя (м) d — диаметр заземлителя (м) T — заглубление заземлителя (расстояние от поверхности земли до середины заземлителя) (м) π — математическая константа Пи (3,141592) ln — натуральный логарифм
Для электролитического заземления ZANDZ формула расчета сопротивления заземления упрощается до вида:
— для комплекта ZZ-100-102
Вклад соединительного заземляющего проводника здесь не учитывается.
Расстояние между заземляющими электродами
При многоэлектродной конфигурации заземлителя на итоговое сопротивление заземления начинает оказывать свое влияние еще один фактор — расстояние между заземляющими электродами. В формулах расчета заземления этот фактор описывается величиной «коэффициент использования «.
Для модульного и электролитического заземления этим коэффициентом можно пренебречь (т.е. его величина равна 1) при соблюдении определенного расстояния между заземляющими электродами:
- не менее глубины погружения электродов — для модульного
- не менее 7 метров — для электролитического
Соединение электродов в заземлитель
Для соединения заземляющих электродов между собой и с объектом в качестве заземляющего проводника используется медная катанка или стальная полоса.
Сечение проводника часто выбирается — 50 мм² для меди и 150 мм² для стали. Распространено использование обычной стальной полосы 5*30 мм.
Для частного дома без молниеприемников достаточно медного провода сечением 16-25 мм².
Подробнее о прокладке заземляющего проводника можно ознакомиться на отдельной странице «Монтаж заземления «.
Сервис расчета вероятности удара молнии в объект
Если помимо заземляющего устройства Вам предстоит установить систему внешней молниезащиты, Вы можете воспользоваться уникальным , защищённый молниеприёмниками. Сервис разработан командой ZANDZ совместно с ОАО «Энергетический институт им.Г.М.Кржижановского» (ОАО «ЭНИН»)
Этот инструмент позволяет не просто проверить надежность системы молниезащиты, но и выполнить наиболее рациональный и правильный проект защиты от молнии, обеспечивая:
- меньшую стоимость конструкции и монтажных работ, уменьшая ненужный запас и используя менее высокие, менее дорогие в монтаже, молниеприёмники;
- меньшее количество ударов молнии в систему, сокращая вторичные негативные последствия, что особенно важно на объектах со множеством электронных приборов (количество ударов молнии уменьшается с уменьшением высоты стержневых молниеприёмников).
- вероятность прорыва молнии в объекты системы (надёжность системы защиты определяется как 1 минус величина вероятности);
- число ударов молнии в систему в год;
- число прорывов молнии, минуя защиту, в год.
Имея подобную информацию, проектировщик может сравнить требования заказчика и нормативной документации с полученной надежностью и принять меры по изменению конструкции молниезащиты.
Для того, чтобы приступить к расчету, .
Заземление — ценное сооружение, защищающее владельцев домашней техники от непосредственного контакта с весьма полезным, но крайне ретивым потоком электроэнергии. Заземляющее устройство обеспечит безопасность при «отгорании» нуля, что нередко случается на загородных ЛЭП при шквальном ветре. Оно исключит риски поражений при утечках на нетоковедущие металлические детали и корпус из-за прохудившейся изоляции. Сооружение защитной системы – мероприятие, не требующее сверх усилий и супер вложений, если грамотно сделан расчет заземления. Благодаря предварительным вычислениям будущий исполнитель сможет определиться с предстоящими расходами и с целесообразностью предстоящего дела.
Строить или не строить?
В уже изрядно забытую пору скудного количества бытовых электроприборов владельцы частных домов редко «баловались» устройством заземления. Считалось, что с задачей отведения утечки электричества превосходно справятся естественные заземлители, такие как:
- стальные или чугунные трубопроводы, если вокруг них не уложена изоляция, т.е. имеется непосредственный плотный контакт с почвой;
- стальная обсадка водяной скважины;
- металлические опоры оград, фонарей;
- свинцовая оплетка подземных кабельных сетей;
- арматура фундаментов, колонн, ферм, заглубленных ниже горизонта сезонного промерзания.
Обратите внимание, что алюминиевая оболочка подземных кабельных коммуникаций не может использоваться в качестве элемента заземления, т.к. покрыта антикоррозионным слоем. Защитное покрытие препятствует рассеиванию тока в грунте.

Оптимальным естественным заземлителем признан стальной водопровод, проложенный без изоляции. Благодаря значительной протяженности минимизируется сопротивление току растекания. К тому же наружный водопровод укладывают ниже отметки уровня сезонного промерзания. Значит, на параметры сопротивления не будут влиять морозы и засушливая летняя погода. В эти периоды уменьшается влажность грунта, и, как следствие, увеличивается сопротивление.
Стальной каркас подземных железобетонных конструкций может служить элементом системы заземления, если:
- с глинистым, суглинистым, супесчаным и влажным песчаным грунтом контактирует достаточная по нормам ПУЭ площадь;
- в период сооружения фундамента арматура в двух или более местах была выведена на дневную поверхность;
- стальные элементы данного естественного заземления были соединены между собой сваркой, а не проволочной связкой;
- сопротивление арматуры, играющей роль электродов, рассчитано согласно требованиям ПУЭ;
- установлена электрическая связь с заземляющей шиной.
Без соблюдения перечисленных условий подземные ж/б сооружения не смогут выполнить функцию надежного заземления.

Из всего набора вышеперечисленных естественных заземлителей расчетам подлежат только подземные ж/б конструкции. Точно вычислить сопротивление растеканию тока трубопроводов, металлической брони и каналов подземных силовых сетей не представляется возможным. Особенно если их прокладка осуществлялась пару десятилетий назад, и поверхность существенно изъедена коррозией.
Эффективность естественных заземлителей определяется путем банальных измерений, для производства чего нужно вызвать сотрудника местной энергослужбы. Показания его прибора подскажут, нужен или нет владельцу загородной собственности повторный заземляющий контур в качестве дополнения к существующим мерам заземления, выполненным компанией-поставщиком электроэнергии.

При наличии на участке естественных заземлителей с соответствующими нормам ПУЭ значениями сопротивления, устраивать защитное заземление нецелесообразно. Т.е. если прибор «агента» энергоуправления показал меньше 4 Ом, организацию контура заземления можно отложить «на потом». Однако лучше перестраховаться и предупредить вероятные риски, для чего и сооружается искусственное заземляющее устройство.
Расчеты для устройства искусственного заземления
Нужно признаться, что досконально рассчитать устройство заземления сложно, практически невозможно. Даже в среде профессиональных электриков практикуется метод приблизительного подбора количества электродов и расстояний между ними. Слишком много природных факторов влияет на результат работы. Уровень влажности нестабилен, зачастую доподлинно не исследована фактическая плотность и удельное сопротивление грунта и т.д. Из-за чего в конечном итоге сопротивление устроенного контура или единичного заземлителя отличается от расчетного значения.
Эту разницу выявляют посредством тех же измерений и корректируют путем установки дополнительных электродов или путем наращивания длины единичного стержня. Однако от предварительных расчетов отказываться не стоит, потому что они помогут:
- исключить или сократить дополнительные затраты на приобретение материала и рытье ответвлений траншей;
- выбрать оптимальную конфигурацию системы заземления;
- составить план действий.
Для облегчения непростых и довольно запутанных расчетов разработано несколько программ, но для того чтобы грамотно ими воспользоваться пригодятся знания о принципе и порядке вычислений.

Составляющие защитной системы
Система защитного заземления представляет собой комплекс заглубленных в грунт электродов, соединенных электрической связью с заземляющей шиной. Основными ее составляющими являются:
- один или несколько металлических стержней, передающих ток растекания земле. Чаще всего в качестве их применяются вертикально забитые в грунт отрезки длинномерного металлопроката: трубы, равнополочного уголка, круглой стали. Реже функцию электродов выполняют горизонтально зарытые в траншею трубы или листовая сталь;
- металлическая связь, соединяющая группу заземлителей в функциональную систему. Зачастую это горизонтально расположенный заземляющий проводник из полосы, уголка или прутка. Его приваривают к верхушкам заглубленных в грунт электродов;
- проводник, соединяющий расположенное в земле заземляющее устройство с шиной, а через нее с защищаемой техникой.
Две последних составляющих носят общее название – «заземляющий проводник» и, по сути, выполняют одну и ту же функцию. Разница заключается в том, что металлическая связь между электродами расположена в земле, а проводник, подключающий заземление к шине, находится на дневной поверхности. Отсюда разные требования к материалам и коррозионной устойчивости, а также разброс в их стоимости.

Принципы и правила вычислений
Совокупность электродов и проводников, именуемая заземлением, устанавливается в грунт, который является непосредственным компонентом системы. Потому в расчетах его характеристики принимают непосредственное участие наравне с подбором длины элементов искусственного заземления.
Алгоритм расчетов прост. Производятся они согласно имеющимся в ПУЭ формулам, в которых есть переменные единицы, зависящие от решения самостоятельного мастера, и постоянные табличные значения. Например, приблизительная величина сопротивления грунта.
Определение оптимального контура
Грамотный расчет защитного заземления начинается с выбора контура, который может повторять любую из геометрических фигур или обычную линию. Выбор этот зависит формы и размеров площадки, имеющейся в распоряжении мастера. Удобней и проще соорудить линейную систему, потому что для установки электродов потребуется вырыть только одну прямую траншею. Но расположенные в один ряд электроды будут экранировать, что неизбежно отразиться на токе растекания. Потому при расчетах линейного заземления в формулы вводится поправочный коэффициент.
Самой востребованной схемой для самостоятельного признают треугольник. Расположенные в вершинах его электроды при достаточном удалении друг от друга не мешают принятому каждым из них току свободно рассеиваться в земле. Трех металлических стержней для устройства защиты частного дома считают вполне достаточным количеством. Главное их правильно расположить: забить в грунт металлические стержни нужной длины на эффективном для работы расстоянии.
Расстояния между вертикальными электродами должны быть равными, независимо от конфигурации системы заземления. Расстояние между двумя соседними стержнями не должно быть равно их длине.

Выбор и расчет параметров электродов и проводников
Основными рабочими элементами защитного заземления являются вертикальные электроды, потому что рассеивать утечки тока придется именно им. Длина металлических стержней интересна, как с точки зрения эффективности защитной системы, так и с точки зрения металлоемкости и цены материала. Расстояние между ними определяет длину компонентов металлической связи: опять же расход материала для создания заземляющих проводников.
Обратите внимание, что сопротивление вертикальных заземлителей зависит преимущественно от их длины. Поперечные размеры несущественно влияют на эффективность. Однако величина сечения нормируется ПУЭ ввиду необходимости создать износостойкую защитную систему, элементы которой не менее 5-10 лет будут постепенно разрушаться коррозией.
Выбираем оптимальные параметры, учитывая, что лишние расходы нам вовсе не к чему. Не забываем, что чем больше метров металлопроката мы загоним в землю, тем больше пользы мы получим от контура. Метры «набрать» можно либо увеличивая длину стержней, либо увеличивая их количество. Дилемма: установка многократных заземлителей заставит изрядно потрудиться на поприще землекопа, а забивание длинных электродов кувалдой вручную превратит в крепкого молотобойца.
Что лучше: численность или длина, выберет непосредственный исполнитель, но существуют правила, согласно которым определяется:
- длина электродов, потому что заглубить их нужно ниже горизонта сезонного промерзания как минимум на полметра. Так нужно, чтобы работоспособность системы не слишком страдала сезонных факторов, а также от засух и дождей;
- расстояние между вертикальными заземлителями. Оно зависит от конфигурации контура и от длины электродов. Определить его можно по таблицам.
Отрезки металлопроката по 2,5-3 метра забивать кувалдой в землю трудно и неудобно даже с учетом того, что их 70 см будет погружено в заранее вырытую траншею. Рациональной длинной заземлителей считают 2,0м с вариациями вокруг этой цифры. Не забудьте, что длинные отрезки металлопроката нелегко и весьма накладно будет доставить на объект.

Грамотно экономим на материале
Уже упоминалось, что от сечения металлопроката мало что зависит, кроме цены материала. Разумней купить материал с наименьшей возможной площадью сечения. Без длительных рассуждений приведем наиболее экономичные и устойчивые к ударам кувалды варианты, это:
- трубы с внутренним диаметром 32 мм и толщиной стенки 3 и более мм;
- равнополочный уголок со стороной 50 или 60 мм и толщиной 4-5 мм;
- круглая сталь с диаметром 12-16 мм.
Для создания подземной металлической связи лучше всего подойдет стальная полоса толщиной 4 мм или 6миллиметровый пруток. Не забываем, что горизонтальные проводники нужно приварить к вершинам электродов, потому к выбранному нами расстоянию между стержнями прибавим еще по 20 см. Надземный участок заземляющего проводника можно сделать из 4миллиметровой стальной полосы шириной 12 мм. Вывести на щиток его можно от ближайшего электрода: так и копать меньше придется, и материал сэкономим.

А вот теперь непосредственно формулы
С формой контура и с размерами элементов мы определились. Теперь можно загнать требующиеся параметры в специальную программу для электриков или воспользоваться приведенными ниже формулами. В соответствии с типом заземлителей выбираем формулу для производства расчетов:

Или воспользуемся универсальной формулой для расчета сопротивление одного вертикального стержня:

Для вычислений потребуются вспомогательные таблицы с приблизительными значениями, зависящими от состава грунта, его усредненной плотности, способности удерживать влагу и от климатической зоны:

Рассчитаем количество электродов, не учитывая значение сопротивления заземляющего горизонтального проводника:

Вычислим параметры горизонтального элемента системы заземления – горизонтального проводника:

Подсчитаем сопротивление вертикального электрода с учетом значения сопротивления горизонтального заземлителя:


Согласно результатам, полученным в результате усердных вычислений, запасаемся материалом и планируем время для устройства заземления.
Ввиду того что наибольшим сопротивлением наше защитное заземление будет обладать в засушливый и морозный период, его сооружением желательно заняться именно в это время. На строительство контура при правильной организации потратить нужно будет пару дней. Перед засыпкой траншеи надо будет проверить работоспособность системы. Это лучше сделать, когда в почве меньше всего содержится влаги. Правда, зима не слишком располагает к труду на открытых площадках, и земляные работы осложняет замерзший грунт. Значит, займемся строительством системы заземления в июле или в начале августа.
