В прошлом видеоуроке мы рассматривали решение задач на проценты с помощью пропорций. Тогда по условию задачи нам требовалось найти значение той или иной величины.
В этот раз исходное и конечное значения нам уже даны. Поэтому в задачах будет требоваться найти проценты. Точнее, на сколько процентов изменилась та или иная величина. Давайте попробуем.
Задача. Кроссовки стоили 3200 рублей. После повышения цены они стали стоить 4000 рублей. На сколько процентов была повышена цена на кроссовки?
Итак, решаем через пропорцию. Первый шаг — исходная цена была равна 3200 рублей. Следовательно, 3200 рублей — это 100%.
Кроме того, нам дана конечная цена — 4000 рублей. Это неизвестное количество процентов, поэтому обозначим его за x. Получим следующую конструкцию:
3200 — 100%4000 — x%
Что ж, условие задачи записано. Составляем пропорцию:
Дробь слева прекрасно сокращается на 100: 3200: 100 = 32; 4000: 100 = 40. Кроме того, можно сократить на 4: 32: 4 = 8; 40: 4 = 10. Получим следующую пропорцию:

Воспользуемся основным свойством пропорции: произведение крайних членов равно произведению средних. Получаем:
8 · x = 100 · 10;8x = 1000.
Это обычное линейное уравнение. Отсюда находим x:
x = 1000: 8 = 125
Итак, мы получили итоговый процент x = 125. Но является ли число 125 решением задачи? Нет, ни в коем случае! Потому что в задачи требуется узнать, на сколько процентов была повышена цена на кроссовки.
На сколько процентов — это значит, что нам нужно найти изменение:
∆ = 125 − 100 = 25
Получили 25% — именно настолько была повышена исходная цена. Это и является ответом: 25.
Задача B2 на проценты №2
Переходим ко второй задаче.
Задача. Рубашка стоила 1800 рублей. После снижения цены она стала стоить 1530 рублей. На сколько процентов была снижена цена на рубашку?
Переводим условие на математический язык. Исходная цена 1800 рублей — это 100%. А итоговая цена 1530 рублей — она нам известна, но неизвестно, сколько процентов она составляет от исходной величины. Поэтому обозначим ее за x. Получим следующую конструкцию:
1800 — 100%1530 — x%
На основе полученной записи составляем пропорцию:
![]()
Давайте для упрощения дальнейших вычислений разделим обе части данного уравнения на 100. Другими словами, у числителя левой и правой дроби мы зачеркнем два нуля. Получим:
Теперь снова воспользуемся основным свойством пропорции: произведение крайних членов равно произведению средних.
18 · x = 1530 · 1;18x = 1530.
Осталось найти x:
x = 1530: 18 = (765 · 2) : (9 · 2) = 765: 9 = (720 + 45) : 9 = 720: 9 + 45: 9 = 80 + 5 = 85
Мы получили, что x = 85. Но, как и в прошлой задаче, это число само по себе не является ответом. Давайте вернемся к нашему условию. Теперь мы знаем, что новая цена, полученная после снижения, составляет 85% от старой. И для того, чтобы найти изменения, нужно из старой цены, т.е. 100%, вычесть новую цену, т.е. 85%. Получим:
∆ = 100 − 85 = 15
Это число и будет ответом: Обратите внимание: именно 15, а ни в коем случае не 85. Вот и все! Задача решена.
Внимательные ученики наверняка спросят: почему в первой задаче мы при нахождении разности вычитали из конечного числа начальное, а во второй задаче поступили в точности до наоборот: из исходных 100% вычли конечные 85%?
Давайте проясним этот момент. Формально, в математике изменением величины всегда называется разность между конечным значением и начальным. Другими словами, во второй задаче у нас должно было получиться не 15, а −15.
Однако этот минус ни в коем случае не должен попасть в ответ, потому что он уже учтен в условии исходной задачи. Там прямо сказано о снижении цены. А снижение цены на 15% — это то же самое, что повышение цены на −15%. Именно поэтому в решении и ответе задачи достаточно написать просто 15 — без всяких минусов.
Все, надеюсь, с этим моментом мы разобрались. На этом наш сегодняшний урок закончен. До новых встреч!
Нередко возникают случаи, когда нужно найти процент какого – либо числа. Те, кто сейчас учится в школе, должны без труда справляться с этой задачей. Но бывает так, что решение вылетает из головы, а посчитать нужно срочно. Так как найти процент от числа?
Как найти процент от числа и число от процента на бумаге
Самый простой способ найти процент от числа – это пропорция. Допустим, вам необходимо посчитать процент бракованного товара. Известно, что всего выпущено 300 деталей, 20 из них бракованные. Вот как найти процент от числа с помощью пропорции:
Теперь вспомните, как считали пропорции в школе: (20*100)/300 = 6,66%. В обратную сторону это работает так: нужно узнать, сколько составляет один процент от числа и умножить на сто. Допустим, необходимо посчитать, сколько всего выпущено автомобилей, если в город доставлено 120 машин, что составляет 5% от всей партии. Разделите 120 на 5 и получите 24. Теперь остается умножить на сто, и вы узнаете, сколько всего автомобилей было выпущено. Так, зная как найти процент от числа и число от процента, вы сможете решать задачи такого рода на бумаге.
Узнайте также, как перевести простую дробь в десятичную и наоборот.
В чем разница в расчете сложных и простых процентов? Читайте .
Использование сторонних программ
Для того, чтобы быстро посчитать проценты, можно воспользоваться обычными офисными инструментами – браузером или программой Microsoft Excel. Если у вас есть подключение к интернету, то вы можете воспользоваться услугами онлайн калькулятора процентов. Подобных сервисов в сети достаточно много, так что вы обязательно найдете то, что ищете. А можно просто написать в поисковой строке Google «5% от 100», например. Он выдаст вам ответ моментально, посчитав на встроенном калькуляторе.
Но самым популярным решением в условиях офиса является Microsoft Excel. Чаще всего проценты нужны при составлении таблиц, а когда под рукой есть мощный инструмент, способный считать проценты за вас (например, сумму налогового вычета), то грех будет им не воспользоваться.
Как найти процент от числа в excel? Точно так же, как и на бумаге, с той лишь разницей, что не приходится пересчитывать вручную. Формулы в Excel записываются в ячейках и начинаются со знака «=». Переведя на язык формул Excel пропорцию, описанную выше, вы получите такое выражение: =B1/A1, где A1 – общее число деталей, а B1 – число бракованных. После этого необходимо в контекстном меню ячейки C1 выбрать пункт «формат ячеек» и выбрать процентный числовой формат. Ответ автоматически будет переводиться в проценты. После можно копировать формулу в другие ячейки, адреса ячеек изменятся автоматически.
Пропорция в переводе с латинского языка (proportio) означает соотношение, выравненность частей, то есть равенство двух отношений. Умение вычислять пропорции часто бывает необходимым в бытовых ситуациях.
Спонсор размещения P&G Статьи по теме «Как посчитать пропорцию» Как складывать квадратные корни Как найти диагональ квадрата Как найти координаты вершины параболы
Простой пример, когда необходимо применить знания о решении пропорций: как вычислить 13% от вашей заработной платы – те самые проценты, которые уходят в Пенсионный фонд.
Напишите две строчки пропорции. В первой укажите общую сумму зарплаты, которая представляет собой 100%, то есть, например, 15 000 (рублей) = 100%.
Строчкой ниже обозначьте ту сумму, которую нужно вычислить, знаком «Х», который равен 13%, то есть Х = 13%.
Основное свойство пропорции звучит так: произведение крайних членов пропорции равно произведению её средних членов. Это значит, что если вы помножите 15 000 на 13, то полученное число будет равняться значению Х, помноженному на 100. То есть перемножая члены пропорции крест накрест, вы получите одинаковое значение.
Чтобы вычислить, чему равен в конечном итоге Х, умножьте 15 000 на 13 и разделите на 100. У вас получится, что 13 процентов от вашей зарплаты составляет 1950 рублей, таким образом, на руки вы получаете 15 000 – 1950 = 13 050 рублей чистой зарплаты.
Если вам нужно взять для пирога 100 граммов сахарной пудры, а вы знаете, что в одном граненом стакане помещается 140 граммов, составьте следующую пропорцию:
Подсчитайте, чему равен Х.
Х = 100 х 1 / 140 = 0,7
То есть вам понадобится 0,7 стакана сахарной пудры.
Бывает, что нужно вычислить целое, зная только процентную часть. Например, вы знаете, что 21 человек на предприятии, а это 5% от общего количества сотрудников, имеют среднее специальное образование. Составьте пропорцию, чтобы вычислить общее количество сотрудников: Х (человек) = 100%, 21 = 5%. 21 х 100 / 5 = 420 человек.
Таким образом, записав в две строки имеющиеся данные, значение неизвестного члена нужно находить так: помножьте между собой те члены пропорции, которые оказываются рядом и сверху неизвестного и разделите полученное число на значение, которое находится по диагонали от неизвестного.
А = Б х С / Д; Б = А х Д / С; С = А х Д / Б; Д = С х Б / А
В геометрии существует несколько видов диагоналей. Диагональю называется отрезок, который соединяет две не соседние (не принадлежащие одной стороне или одному ребру) вершины многоугольника или многогранника. Различают так же диагонали граней, рассматриваемых как многоугольники и пространственные
Куб представляет собой частный случай параллелепипеда, в котором каждая из граней образована правильным многоугольником — квадратом. Всего куб обладает шестью гранями. Вычислить площадь не представляет затруднений. Спонсор размещения P&G Статьи по теме «Как вычислить площадь куба» Как складывать
Что представляет собой пропорция? С математической точки зрения, пропорция – это равенство двух отношений. Все части пропорции являются взаимозависимыми, а их результат неизменен. Вам понадобится — Учебник алгебры за 7 класс. Спонсор размещения P&G Статьи по теме «Как вычислить пропорцию» Как
Часто в жизни приходится применять простые математические действия быстро и без помощи электронных вычислителей. К примеру, при подсчете заработной платы надо вычесть от общей денежной суммы тринадцать процентов. Как это сделать? Ведь вычитать разные виды чисел нельзя, без определенного
Всё познается в сравнении. Отношение некоторых величин друг к другу можно выразить в процентах. Например, посчитав, какой процент жидкости от основной массы содержится в 1 кг помидоров и огурцов, вы узнаете, что будет сочнее. Вам понадобится 1) Бумага 2) Ручка 3) Калькулятор Спонсор размещения
Среднее арифметическое — важное понятие, используемое во многих разделах математики и ее приложениях: статистике, теории вероятностей, экономике и.т.д. Среднее арифметическое можно определить как общее понятие средней величины. Спонсор размещения P&G Статьи по теме «Как вычислить среднее
Умение решать пропорции может пригодиться и в повседневной жизни. Допустим, у вас на кухне уксусная эссенция с содержанием 40% уксуса, а вам нужен 6% уксус. Без составления пропорции тут никак не обойтись. Вам понадобится ручка, листок бумаги, аналитическое мышление Спонсор размещения P&G Статьи по
От необходимости сложных математических расчетов у обычного человека кругом идет голова. Попробуйте-ка подсчитать, какова сумма подоходного налога от вашей зарплаты. В этом случае вам поможет простое действие — составление пропорции. Пропорция — это равенство двух частных. Записывается она в виде
В математике пропорцией называют равенство двух отношений. Для всех ее частей характерна взаимозависимость и неизменный результат. Достаточно рассмотреть один пример, чтобы понять принцип решения пропорций. Спонсор размещения P&G Статьи по теме «Как найти пропорцию» Как вычесть процент от суммы Как
Уже с первого класса малыши узнают на уроках математики такие понятия, как равенство, знаки «больше» и «меньше». С годами задания становятся все сложней, но требование составить равенство встречается в них также достаточно часто, поскольку знак «равно» — основа любых преобразований в математике.
Как составить пропорцию? Поймет любой школьник и взрослый
Для решения большинства задач в математике средней школы необходимо знание по составлению пропорций. Это несложное умение поможет не только выполнять сложные упражнения из учебника, но и углубиться в саму суть математической науки. Как составить пропорцию? Сейчас разберем.
Самым простым примером является задача, где известны три параметра, а четвертый необходимо найти. Пропорции бывают, конечно, разные, но часто требуется найти по процентам какое-нибудь число. Например, всего у мальчика было десять яблок. Четвертую часть он подарил своей маме. Сколько осталось яблок у мальчика? Это самый простой пример, который позволит составить пропорцию. Главное это сделать. Изначально было десять яблок. Пусть это 100%. Это мы обозначили все его яблоки. Он отдал одну четвертую часть. 1/4=25/100. Значит, у него осталось: 100% (было изначально) — 25% (он отдал) = 75%. Эта цифра показывает процентное отношение количества оставшихся фруктов к количеству имевшихся сначала. Теперь у нас есть три числа, по которым уже можно решить пропорцию. 10 яблок — 100%, х яблок — 75%, где х — искомое количество фруктов. Как составить пропорцию? Необходимо понимать, что это такое. Математически это выглядит так. Знак равно поставлен для вашего понимания.
Оказывается, что 10/x = 100%/75. Это и есть основное свойство пропорций. Ведь чем больше x, тем больше процентов составляет это число от исходного. Решаем эту пропорцию и получаем, что x=7,5 яблок. Почему мальчик решил отдать нецелое количество, нам неизвестно. Теперь вы знаете, как составить пропорцию. Главное, найти два соотношения, в одном из которых есть искомое неизвестное.
Решение пропорции часто сводится к простому умножению, а потом к делению. В школах детям не объясняют, почему это именно так. Хотя важно понимать, что пропорциональные отношения есть математическая классика, сама суть науки. Для решения пропорций необходимо уметь обращаться с дробями. Например, часто приходится переводить проценты в обыкновенные дроби. То есть запись 95% не подойдет. А если сразу написать 95/100, то можно провести солидные сокращения, не начиная основного подсчета. Сразу стоит сказать, что если ваша пропорция получилась с двумя неизвестными, то ее не решить. Никакой профессор вам здесь не поможет. А ваша задача, скорее всего, имеет более сложный алгоритм правильных действий.
Рассмотрим еще один пример, где нет процентов. Автомобилист купил 5 литров бензина за 150 рублей. Он подумал о том, сколько он бы заплатил за 30 литров топлива. Для решения этой задачи обозначим за x искомое количество денег. Можете самостоятельно решить эту задачу и потом проверить ответ. Если вы еще не поняли, как составить пропорцию, то смотрите. 5 литров бензина — это 150 рублей. Как и в первом примере, запишем 5л — 150р. Теперь найдем третье число. Конечно, это 30 литров. Согласитесь, что пара 30 л — х рублей уместна в данной ситуации. Перейдем на математический язык.
5 литров — 150 рублей;
30 литров — х рублей;
Решаем эту пропорцию:
Вот и решили. В своей задаче не забудьте проверить на адекватность ответ. Бывает, что при неправильном решении автомобили достигают нереальных скоростей в 5000 километров в час и так далее. Теперь вы знаете, как составить пропорцию. Также вы сможете ее решить. Как видите, в этом нет ничего сложного.
Как найти процент от числа

Чтобы найти процент от числа, например, 35% от 1000 рублей, нужно оно же Откуда взялась цифра 100? Из самого определения. Процент — это сотая доля числа.
На калькуляторе можно 1000 умножить на 35 и нажать на кнопку %
Как найти 100 процентов

Например, мы знаем, что 350 рублей составляет 35%. Сколько же будет 100%?
Процент между двумя числами

Какую часть одно число составляет от другого. Например, на сколько процентов был выполнен план, если предполагался доход 800 рублей, а в итоге получили 1040 рублей.
Онлайн калькулятор расчёта процентов

Не обязательно в расчёт брать 100%. Например, посещаемость с Яндекса, Гугл, ВКонтакте и т.д. составляет 100%. С Яндекса на сайт приходит 800 посетителей, что составляет 67% от общего числа. А с Гугол — 55 посетителей. Какой процент посетителей приходит с Google?
Как посчитать на сколько процентов одно число меньше другого

Зарплата понизилась с 1040 рублей до 800 рублей. На сколько процентов уменьшилась зарплата? На сколько процентов 800 меньше 1040? Неизвестная 800.
Как узнать на сколько процентов одно число больше другого

Зарплата повысилась с 800 до 1040 рублей. На сколько процентов увеличилась зарплата? На сколько процентов 1040 больше 800? Неизвестная 1040.
Пишем пропорцию можно вывести формулу
Увеличение числа на указанный процент

Число b больше 800 на 30%. Нужно вычислить число b.
Пишем пропорцию можно вывести формулу
Пример: сумма без НДС равна 1000 рублей. Сколько будет общая сумма с НДС 18%
Уменьшение числа на заданный процент
Число a меньше 1040 на 23%. Чему равен a?
Пишем пропорцию можно вывести формулу
Скрипт для веб-разработчиков
JavaScript очень прост (выделила математические действия в теге form): input — поле, куда вводим значения
output — область с результатом
parseFloat(g3.value) или g3.valueAsNumber — преобразует строку в число
235 комментариев:
Ничерта не нужна (есть калькулятор в телефоне), но иногда может случиться так, что придётся делать скрипт расчёта стоимости натяжного потолка. NMitra А как же банковский процент, скажем, на кредит или вклад? Или процент переходов с поиска? Или налоги для ИП?
Итого: 20% Анонимный Мне надо 20% настойка прополиса. Купила в аптеке настойку,но в инструкции и на бутылочке надпись:настойка — 1:10 == Как сделать 20% ? NMitra Не берусь вам дать совет. У меня нет медицинского образования. Анонимный Я еще со школы терпеть не могу все,что связано с цифрами,вычислениями.И как ни странно,учусь на финансиста,а самых элементарных арифметических действий не знаю.И когда я слышу слово «задачи»,мне аж не по себе становится. NMitra:)) Анонимный УНС УНС УНС УНС! Анонимный все равно не понятно. или я тупая или. незнаю:(А(мишка)***хД*** Задачу решить не могу:((Анонимный 1:10 это часть взрослой дозы для детей. если во флаконе 25 мл, то умножайте 1 мл — это 25 капель — 25*25 (если разжиженное) и дальше рассчитывайте проценты. а так от многих факторов зависит сколько капель на мл. (состояние густоты, размер пипетки и т.д.). Анонимный Привет, а как узнать разницу между двумя числами в %. Т.е. на сколько одно число больше второго.
например 950000 от 87000
бОльшее брать за 100%? тогда цифра получается 91.58, это получается 8.42%. Правильно я считаю? Спасибо Анонимный Блин не верно написал 95000 и 87000 NMitra Хотя, нет я не правильно поняла вопрос.
NMitra Приятно слышать, что твоя работа оценена, пожалуйста Nasiba Как быть если сумма процента известна а сам процент нет. Например 3000 основная сумма 1400 каким процентом этой суммы является? NMitra 3000 — 100%
NMitra Бывает. Анонимный Вкладчик внес 3500 руб под 15% годовых, какую сумму он получит через 3 года? NMitra Проценты начисляются или причисляются? Если причисляются, то в какой срок (раз в три месяца, раз в шесть месяцев)?
525*3=1575 (за три) Анонимный беру кредит на 5 000 000 рублей под 20% на 12 месяцев, сколько я должна платить в месяц?Напишите расчет пожалуйста. Спасибо. NMitra Проценты годовые или месячные?
* на оплату процентов,
* списание основного долга.
* аннуитетный платеж при котором сумма ежемесячных выплат одинаковая (в вашем случае около 463 172,53 рублей),
* дифференцированный платёж при котором списывается одинаковая сумма основного долга (в вашем случае 5 000 000 / 12 = 416 666,67):
365 — количество дней в году
Проценты: 5 000 000 * 0,2 * 30 / 365 = 82 191,78
Платёж: 416 666,67 + 82 191,78 = 498 858,45
Проценты: 4 583 333,33 * 0,2 * 31 / 365 = 77 853,88
Платёж: 416 666,67 + 77 853,88 = 494 520,55
Проценты: 5 000 000 * 0,2 = 1 000 000
Платёж: 416 666,67 + 1 000 000 = 1 416 666,67
Остаток: 5 000 000 — 416 666,67 = 4 583 333,33
Проценты: 4 583 333,33 * 0,2 = 916 666,66
Платёж: 416 666,67 + 916 666,66 = 1 333 333,33
Остаток: 4 583 333,33 — 416 666,67 = 4 166 666,66
Огромное спасибо! Анонимный скажите пожалуйста.как вычесть процент от выручки.по какой формуле? NMitra Выручка 1000 рублей, процент, который нужно вычесть 35%
1000*0,35=350 рублей (это процент от выручки, см. первая форма)
1000 — 350 = 650 рублей (в выручке осталось 650 рублей) Анонимный Влажность воздуха 97%. Уменьшаем на 1%. Какая сьанет влажность воздуза помле этого? NMitra 96% насколько я понимаю. Анонимный сумма3395 из этой 0,33% в день NMitra 3395*0,33=11.2035 Анонимный вместо 1600 осталось 1200 на сколько процентов сократилось NMitra Пропорция:
С = 2,2*B = 2.2 * A / 0,44 = 5
х% составляет 1000
х = 100000/4600 = 21,73913 (тот, кто дал 1000€)
21,73913 составляет х
х = 14500*21,73913/100 = 3152,17 (тот, кто дал 1000€)
3600*100:9900=37%, но это процент от 1000
100%-37%=63%, это процент от 3600
ваша сумма=63% (это 6237 евро) + вложенное 3600=9837
моя=37% (это 3663 евро) + 1000=4663 евро. Анонимный Как им доказать..что не правы..получается их сумма увеличилась в 4.5 раза..хотя общая сумма-в три с хвостиком. не хочется ругаться из-за денег. NMitra Вы из конечной суммы вычитаете первоначальный капитал. Предположим.
А она (см. комментарий 64):
21,73913% (тот, кто дал 1000€)
78,26087% (тот, кто дал 3600€)
1000 из 4600 — это 1/4,6 от суммы (4600/4,6=1000).
1/4 — это 25%, 1/4,6 — это (100/4,6=21,73913%)
По идее нужно решать через пропорцию 7*100/0, на на 0 делить нельзя. Меня это ставит в тупик! NMitra Согласна с вами, вопрос поставлен не корректно, на ноль делить нельзя, можно лишь на бесконечно малую функцию. Анонимный Так как же пример решить? Вроде простая задачка из начальной школы, но взорвала умы всех моих знакомых, кому в районе тридцати))) NMitra Вопрос имел бы смысл, если бы звучал так: «На сколько в правой руке у него больше яблок, чем в левой?»
7 — 0 = 7 Ответ: на 7 яблок. Может опечатка? Анонимный Ладно. Рассказываю как есть. Мой муж на работе следит за нарушениями. В первом квартале их не было. Во втором зафиксировано 7. Данные нужно подать в виде процентного соотношения: на сколько процентов во втором квартале нарушений больше. Если бы было 4 и 5, соответственно, то решить не сложно.
NMitra Ничего не получается, бесконечность ((
во втором 7 нарушений, что соответствует х
или 1000 * 1,12 = 1120
91 год — 20129,03 тыс.руб
92 год — 39686,42 тыс. руб
абсолютное изменение — 19557,39 тыс.руб
NMitra А что искали? Даже на глаз видно, что 20 меньше 40 на половину (50%), а именно
х=19557,39*100/39686,42=49,28 Анонимный Как вычесляется сумма если: 1000*1.2^12=8916. NMitra ^ — это символ степени https://ru.wikipedia.org/wiki/%C2%EE%E7%E2%E5%E4%E5%ED%E8%E5_%E2_%F1%F2%E5%EF%E5%ED%FC#.D0.97.D0.BD.D0.B0.D1.87.D0.BE.D0.BA_.D1.81.D1.82.D0.B5.D0.BF.D0.B5.D0.BD.D0.B8
8,916100448 * 1000 = 8916,100448
В первом случае у нас на депозите будет 1000*1.2^3=1728, т.е. почти 73% рост за три месяца.
Что же будет со вторым вкладом, а здесь та же формула: 1000*1.2^12=8916руб.
Получаем почти 800% прибыли или рост депозита почти в 9 раз за один год.
Конкретно меня интерисует эта формула, как вообще она работает или как ростет процент прибыли.
То есть проценты причисляются к общей сумме. Анонимный Здравствуйте,
Спасибо за отличный сайт и за вычисления процентов. Только я не смог здесь найти» обратное вычисление». Например есть число: 1045, из него я хочу взять 600 (для дальнейших действий). Вопрос: эти 600, это сколько процентов от 1045 ? И где тот волшебный калькулятор на котором это можно подсчитать? 1045/100=10.45 — это один процент. Затем 10.45*на 600 ? Получается чушь! =6270. Это что? Что это за бяка?
Спасибо. NMitra Анонимный,
х = 100000*5/100 = 5000 Анонимный Здравствуйте, NMitra.
Подскажите пожалуйста как посчитана себестоимость 4,3 млн. руб, а то у меня не сходится ничего:
оборот 6 млн. руб в месяц, средняя наценка составляет 39%, следовательно себестоимость продукции – 4,3 млн.
NMitra 4,3 + 4,3 * 39 / 100 = 6
Себестоимость = О/(1 + Н/100) = 6 / (1 + 39 / 100)
Я думала, что наценка считается таким способом:
Это неправильно же? Тогда что я могла посчитать таким способом? NMitra 6*39/100 — это 39 процентов от 6
6 — 2,34 — это 61 процент от 6
Анонимный Да, мне нужно от оборота было вычесть 39% наценки, чтобы получить себестоимость без наценки.
Спасибо большое еще раз! Анонимный Объясните пожалуйста на сколько меньше если в 2013 году вывезли 2800 товаров, а в 2014 вывезли 2400 товаров, за 100% брать всегда 2014 год.
На 14,3% в 2014 вывезли меньше? NMitra У меня также получается. Анонимный Спасибо Анонимный А в случае увеличения, если суммы те же, то получится также — 14,3% NMitra Нет, цифра будет другая Анонимный А почему? NMitra Чтобы разобраться, сформулируйте задачу и предложите её решение. Без примеров труднее объяснить, а так вы и сами сейчас поймёте в чём разница. Анонимный Подскажите пожалуйста как рассчитать проценты по французской и германской системе начисления процентов,
если дата выдачи кредита 22 апреля 2014 года, а дата возврата 16 сентября, ставка по кредиту 16% годовых.
S = s * (1 + P/100 * d/D)
Процентная ставка (P) = 16
Количество дней в году (D) = 365 дней или 366 (високосный год) дней
Количество дней (d) = 8 апрель + 31 май + 30 июнь + 31 июль + 31 август + 16 сентябрь = 147 дней
Количество дней в году (D) = 360 дней
Количество дней (d) = 8 апрель + 30 май + 30 июнь + 30 июль + 30 август + 16 сентябрь = 144 дней Анонимный NMitra! Спасибо Вам, выручили. Анонимный Здравствуйте! помогите вычислить процент за кредит
В банке хотим взять кредит, дают 440.000 / оплата 11.722 в месяц на 60 месяцев
NMitra Здравствуйте, платёж постоянный на протяжении всего срока или уменьшается с уменьшением основного долга? Проценты месячные или годовые? Я бы ориентировалась не на процент (какое-то число, например 20%), а на конечную сумму, которую вы отдадите банку помимо основного долга со всеми дополнительными комиссиями, в том числе единовременными:
703320 — 440000 = 263320 (из них процентов)
263320/5 = 52664 (процентов в год)
Анонимный Здравствуйте! 40 000 под 9.20% сколько будет начислино проценты через месяц? NMitra 40000*0,092=3680
Но! Проценты у вас скорее всего годовые, поэтому эту сумму вы получите по прошествии года.
А эта сумма за месяц. Но не точно, так как обычно считается не количество месяцев, а количество дней, в течении которого пролежит вклад. В разных месяцах разное количество дней.
ЕСЛИ Я ПРАВИЛЬНО СЧИТАЮ ТО ПОЛУЧАЕТСЯ: 344*100/30984 = 1,11 NMitra Верно думаете. Анонимный Уровень обращаемости населения за медицинской помощью в 2013 году составило 121681 обращение, в 2014-118480
Исходя из данных, как найти процент снижение количество вызовов?
верно будет такое решение 121681-118480=3201*100/121681= NMitra 121681 — 100%
х = 118480*100/121681 = 97,37%
Анонимный 65651651 Анонимный помогите
в 2001 выручка возросла по сравнению 2000 на 2 процента хотя планировали в 2 раза на сколько процентов не довыпольнин план NMitra 2 раза — это 200%
200% — 2% = 198% (на 198% недовыполнен план) Анонимный помогите
в 2 полугодие произвели детали на 0.5 % по сравнению с первым полугодия план производства быль не довыпольнин на 16.5% на сколько %планировались изменит производства уменьшения или повишения Анонимный помогите ответить на вопрос. Арбуз содержит 99% влажность, но после усушки (положить на солнышко на несколько дней) влажность его составляет 98%, НА СКОЛЬКО % ИЗМЕНИТСЯ ВЕС АРБУЗА ПОСЛЕ УСУШКИ? огромное спасибо NMitra Про производство: некорректно сформулирована задача
«в 2 полугодие произвели детали на 0.5 % по сравнению с первым полугодия» — больше или меньше?
х = 40% Анонимный у меня гола лопается, но в реальности он же не может терять половину веса.Это значит что математический расчет не совпадает с реальностью. Летом буду проводить эксперимент с арбузом:)))))) СПасибо NMitra Соотношение влажности и веса может идти по гиперболе (см. графики элементарных функций) Сергей Рыскин Помогите решить задачу, от какого числа отняли 20% чтоб получилось 600
Сергей Рыскин Методом подбора я понял, что это 750, мне нужно чтоб так считало в еxsel ? для этого нужна формула, вопрос в формуле, как она пишется
NMitra 20% = 20/100 = 0,2
итоговая сумма: 12901,00 или
Объясните мне, если можно. NMitra Итоговая сумма неверно рассчитана:)
А если 11740,4 умножить на 130% что мы получим? NMitra Правильно формулируйте вопросы:
Хорошо, все равно Я не понял.
(Пример: Есть прайс-лист- три колонки цен
оптовая-(1006,00), розница+35% к опт (1358,00), интернет+25% к опт (1258,00).
Есть розничная цена — 16772,00
хотим дать скидку -30% от суммы
Почему нельзя разделить на 130% NMitra 1006 (опт)
1006 + 352.1 = 1358,1 (розн 35%)
1358,1 * 0,35 = 475.335
1358,1 — 475,335 = 882,765
Опт = Розн/(1 + процент/100) = 1358,1/(1 + 35/100) = 1358,1 / 1,35 = 1006
х = 50*100/1100 = 4,55% (процент скидки от розн. в перерасчёте на опт.) Анонимный Огромное спасибо! russYliusha Ребята всем привет. очень нужна помощь. Допустим мой друг брал кредит в банк 15000€ на пять лет (60 месяцев) он платит в месяц по 270€ в течение пять лет в итоге выходит 16200€ , Вопрос:
Как узнать Процентную ставку банка, то есть сколько процентов берет банк.
СПАСИБО. NMitra 16200 — 15000 = 1200 (за 5 лет)
1200 / 5 = 240 (за год)
х% = 240*100/15000 = 1,6% (годовая ставка)
15000 / 60 = 250 (основной долг в месяц)
А вы не могли бы мне сказать формулу в excel ! Или как это все считать в excel!!Спасибо большое!! NMitra У меня не более знаний, чем давали в школе в моё время. Подставляйте известные
Ребята как узнать сколько мне платят в час?
Работал 80 часов а получил 1000 € ,
За ранее спасибо!! NMitra 1 — x
x = 1000 / 80 = 12,5 € (в час) maksimovgenya Доброго времени суток.
из них испорченных книг 4.
х = 100*4/113 = 3,54% Анонимный Нужно найти,сколько процентов составляет 500 000 от 32 000 000,заранее благодарю Анонимный На счету есть 2500 евро, которые положили на 3 месяца под 4%. По истечению 3х месяцев на счету оказалось 2570 евро. Правильно ли я считаю, что 4 % от 2500 это 100 евро, т.е. окончательная сумма по истечению срока должна быть 2600 евро. Но оператор сказала что так «тупо» проценты считать нельзя. Как в этом случае происходит расчет? NMitra 32 000 000 — 100%
x = 500 000 * 100 / 32 000 000 = 50 / 32 = 1.5625% (полтора процента) NMitra Комментарий 158: проценты во всех случаях рассчитываются одинаково. Оператор обязана объяснить вам как именно происходит расчёт (какое количество дней, какие берутся комиссии и т.д.)!
Указанных вами данных мне не хватает:
1) как правило, процент указывается годовой (так процент выглядит более внушительно), а у вас сразу за три месяца?
2) прошло полных три месяца после открытия счёта?
3) банк не берёт разовых комиссий при открытии/закрытии счёта?
Понятие «маржа» имеет разное значение, у коллег по цеху поинтересуйтесь, что именно они имеют ввиду. NMitra Маржа в % — отношение разницы между ценой и себестоимостью к цене = (Цена — Себестоимость) * 100 / Цена
Полная себестоимость = 900
х — 600 = 400 / 100 * 600 = 2400
х = 2400 + 600 = 3000
0.5 куб. камеры ___ X ?? watt
1.0 куб. камеры ___ 2948 watt NMitra 0,5 — это половина, но в задаче какая-то другая закономерность, не проценты
2552,18 + 382.827 = 2935
z1 — конечное значение диапазона
х = (37-22)*100/(63-22) = 1500 / 41 = 37%
2 3 4 5 6 7 8 9 10 11 12 Evgeniya Nikolskaya Помогите пожалуйста) к закупочной цене прибавили 15% получилась продажная цена. Сколько отнять процентов от продажной цены, чтобы получилась закупочная цена. NMitra См. комментарий 95
NMitra 500 * 0,05 = 25 Анонимный подскажите пожалуйста общий транспортный расход 3700 привезли на одной машине два товара стоимостью один товар 2200 а второй 27800 как считать их транспортный расход NMitra всего 2200+27800=30000 (это 100%)
х = 2200*3700/30000 = 271
х = 27800*3700/30000 = 3429 Анонимный NMitra
А как же банковский процент, скажем, на кредит или вклад? Или процент переходов с поиска? Или налоги для ИП?
x = (568 — 1,2y)/0,8 = 710 — 1,5y
y = 650 — 710 + 1,5y = -60 + 1,5y
х = 42*23/94 = 10 Артур Нечипурук О-о, вы уже отписались.
Благо голова ещё не насколько отупела, чтобы не решить это самостоятельно, вспомнил, достал тетрадь и вывел самостоятельно нужную здесь пропорцию.. (надо хоть изредка упражняться)
NMitra Умножить число на 10101:) Артур Нечипурук Вчера ещё разобрался, читал объяснения:) Анонимный было 165 стало 230 на сколько % увелчился объем продаж? NMitra 230-165=65
х = 65*100/165=39 (на 39%) Анонимный Вопрос на автостоянке стояле легковые и грузовые машины легковые машины больше на 1,15 раза на сколько процентов легковых машин больше чем грузовых
Процентный калькулятор: 7 основных операций с процентами

Результат расчета









Результат расчета









Результат расчета









Результат расчета









Результат расчета









Результат расчета









Результат расчета









Результат расчета









Результат расчета









Один процент — это сотая часть от числа. Данное понятие используется, когда нужно обозначить отношение доли к целому. Кроме этого, в процентах можно сравнивать несколько величин, при этом обязательно указывая, относительного какого целого проценты вычисляются. Например, расходы выше доходов на 10 % или цена на железнодорожные билеты возросла на 15 % в сравнении с тарифами прошлого года. Число процентов выше 100 означает, что доля превышает целое, как часто бывает при статистических расчетах.
Процент как финансовое понятие — плата, заемщика кредитору за предоставление денег во временное пользование. В бизнесе встречается выражение «работать за проценты». В данном случае подразумевается, что размер вознаграждения зависит от прибыли или оборота (комиссионные). Обойтись без вычисления процентов невозможно в бухгалтерии, бизнесе, банковском деле. Чтобы упростить расчеты, разработан онлайн-калькулятор процентов.
Калькулятор позволяет вычислить:
- Процент от заданного значения.
- Процент из суммы (налог по фактической зарплате).
- Процент от разницы (НДС из суммы с НДС).
При решении задач на калькуляторе процентов нужно оперировать тремя значениями, одно из которых неизвестно (по заданным параметрам вычисляется переменная). Сценарий расчета следует выбирать, исходя из заданных условий.
Примеры расчетов

1. Вычисление процента от числа
Чтобы найти число, составляющее 25 % от 1 000 руб., нужно:
Для расчета на обычном калькуляторе, нужно 1 000 умножить на 25 и нажать кнопку %.
2. Определение целого числа (100 %)
Мы знаем, что 250 руб. составляет 25 % от какого-то числа. Как его вычислить?
Составим простую пропорцию:
3. Процент между двумя числами
Допустим, предполагалась прибыль 800 руб., а получили 1 040 руб. Каков процент превышения?
Пропорция будет такой:
Перевыполнения плана по прибыли — 30 %, то есть выполнение — 130 %.
4. Расчет не из 100 %
Например, в магазин, состоящий из трех отделов, приходят 100 % покупателей. В продуктовый отдел — 800 человек (67 %), в отдел бытовой химии — 55. Какой процент покупателей приходит в отдел бытовой химии?
5. На сколько процентов одно число меньше другого
Цена товара упала с 2 000 до 1 200 руб. На сколько процентов подешевел товар или на сколько процентов 1 200 меньше 2 000?
- 2 000 — 100 %
- 1 200 – Y %
- Y = 1 200 × 100 / 2 000 = 60 % (60 % к цифре 1 200 от 2 000)
- 100 % − 60 % = 40 % (число 1 200 меньше 2 000 на 40 %)
6. На сколько процентов одно число больше другого
Зарплата выросла с 5 000 до 7 500 рублей. На сколько процентов увеличилась зарплата? На сколько процентов 7 500 больше 5 000?
- 5 000 руб. — 100 %
- 7 500 руб. — Y %
- Y = 7 500 × 100 / 5 000 = 150 % (в цифре 7 500 150 % от 5 000)
- 150 % − 100 % = 50 % (число 7 500 больше 5 000 на 50 %)
7. Увеличение числа на определенный процент
Цена товара S выше 1 000 руб. на 27 %. Какова цена товара?
Онлайн-калькулятор делает вычисления намного проще: вам нужно выбрать вид расчета, ввести число и процент (в случае вычисления процентного соотношения — второе число), указать точность расчета и дать команду о начале действий.
Как посчитать (высчитать) процент от суммы?

Как посчитать процент от суммы , требуется знать во многих случаях (при расчете госпошлины, кредита и т. п.). Мы расскажем, как посчитать проценты от суммы с помощью калькулятора, пропорций и известных соотношений.
Как узнать процент от суммы в общем случае?

После этого есть два варианта:
- Если нужно узнать, сколько процентов составляет другая сумма от первоначальной, нужно просто разделить ее на размер 1%, полученный ранее.
- Если же нужен размер суммы, которая составляет, скажем, 27,5% от первоначальной, нужно размер 1% умножить на требуемое количество процентов.
Как высчитать процент из суммы с помощью пропорции?

Но можно поступить и иначе. Для этого придется использовать знания о методе пропорций, который проходят в рамках школьного курса математики. Это будет выглядеть так.
Пусть у нас есть А — основная сумма, равная 100%, и В — сумма, соотношение которой с А в процентах нам нужно узнать. Записываем пропорцию:
(Х в данном случае — число процентов).
По правилам расчета пропорций мы получаем следующую формулу:
Если же нужно узнать, сколько будет составлять сумма В при уже известном числе процентов от суммы А, формула будет выглядеть по-другому:
Теперь остается подставить в формулу известные числа — и можно производить расчет.
Как рассчитать процент от суммы с помощью известных соотношений?

Наконец, можно воспользоваться и более простым способом. Для этого достаточно помнить, что 1% в виде десятичной дроби — это 0,01. Соответственно, 20% — это 0,2; 48% — 0,48; 37,5% — это 0,375 и т. д. Достаточно умножить исходную сумму на соответствующее число — и результат будет означать размер процентов.
Кроме того, иногда можно воспользоваться и простыми дробями. Например, 10% — это 0,1, то есть 1/10 следовательно, узнать, сколько составят 10%, просто: нужно всего лишь разделить исходную сумму на 10.
Другими примерами таких соотношений будут:
- 12,5% — 1/8, то есть нужно делить на 8;
- 20% — 1/5, то есть нужно разделить на 5;
- 25% — 1/4, то есть делим на 4;
- 50% — 1/2, то есть нужно разделить пополам;
- 75% — 3/4, то есть нужно разделить на 4 и умножить на 3.
Правда, не все простые дроби удобны для расчета процентов. К примеру, 1/3 близка по размерам к 33%, но не равна точно: 1/3 — это 33,(3)% (то есть дробь с бесконечными тройками после запятой).
Как вычесть процент от суммы без помощи калькулятора

Если же требуется от уже известной суммы отнять неизвестное число, составляющее какое-то количество процентов, можно воспользоваться следующими методами:
- Вычислить неизвестное число с помощью одного из приведенных выше способов, после чего отнять его от исходного.
- Сразу рассчитать остающуюся сумму. Для этого от 100% отнимаем то число процентов, которое нужно вычесть, и полученный результат переводим из процентов в число любым из описанных выше способов.
Второй пример удобнее, поэтому проиллюстрируем его. Допустим, надо узнать, сколько останется, если от 4779 отнять 16%. Расчет будет таким:
- Отнимаем от 100 (общее количество процентов) 16. Получаем 84.
- Считаем, сколько составит 84% от 4779. Получаем 4014,36.
Как высчитать (отнять) из суммы процент с калькулятором в руках

Все вышеприведенные вычисления проще делать, используя калькулятор. Он может быть как в виде отдельного устройства, так и в виде специальной программы на компьютере, смартфоне или обычном мобильнике (даже самые старые из ныне используемых устройств обычно имеют эту функцию). С их помощью вопрос, как высчитать процент из суммы, решается очень просто:
- Набирается исходная сумма.
- Нажимается знак «-».
- Вводится число процентов, которое требуется вычесть.
- Нажимается знак «%».
- Нажимается знак «=».
В итоге на экране высвечивается искомое число.
Как отнять от суммы процент с помощью онлайн-калькулятора

Наконец, сейчас в сети достаточно сайтов, где реализована функция онлайн-калькулятора. В этом случае даже не требуется знания того, как посчитать процент от суммы: все операции пользователя сводятся к вводу в окошки нужных цифр (или передвижению ползунков для их получения), после чего результат сразу высвечивается на экране.
Особенно эта функция удобна тем, кто рассчитывает не просто абстрактный процент, а конкретный размер налогового вычета или сумму госпошлины. Дело в том, что в этом случае вычисления сложнее: требуется не только найти проценты, но и прибавить к ним постоянную часть суммы. Онлайн-калькулятор позволяет избежать подобных добавочных вычислений. Главное — выбрать сайт, пользующийся данными, которые соответствуют действующему закону.
Составить пропорцию. В этой статье хочу поговорить с вами о пропорции. Понимать, что такое пропорция, уметь составлять её – это очень важно, она действительно спасает. Это вроде бы маленькая и незначительная «буковка» в большом алфавите математики, но без неё математика обречена быть хромой и неполноценной.Для начала напомню, что такое пропорция. Это равенство вида:

что тоже самое (это разная форма записи).
Пример:
Говорят – один относится к двум также, как четыре относится к восьми. То есть это равенство двух отношений (в данном примере отношения числовые).
Основное правило пропорции:
a:b=c:d
произведение крайних членов равно произведению средних
то есть
a∙d=b∙c
*Если какая-либо величина в пропорции неизвестна, ее всегда можно найти.
Если рассматривать форму записи вида:
то можно использовать следующее правило, его называют «правило креста»: записывается равенство произведений элементов (чисел или выражений) стоящих по диагонали
a∙d=b∙c
Как видите результат тот же.
Если три элемента пропорции известны, томы всегда можем найти четвёртый.
Именно в этом суть пользы и необходимостьпропорции при решении задач.
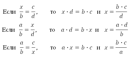
Давайте рассмотрим все варианты, где неизвестная величина х находится в «любом месте» пропорции, где a, b, c – числа:

Величина стоящая по диагонали от х записывается в знаменатель дроби, а известные величины стоящие по диагонали записываются в числитель, как произведение. Его запоминать не обязательно, вы и так всё верно вычислите, если усвоили основное правило пропорции.
Теперь главный вопрос, связанный с названием статьи. Когда пропорция спасает и где используется? Например:
1. Прежде всего это задачи на проценты. Мы рассматривали их в статьях » » и » «.
2. Многие формулы заданы в виде пропорций:
> теорема синусов
> отношение элементов в треугольнике

> теорема тангенсов

> теорема Фалеса и другие.
3. В задачах по геометрии в условии часто задаётся отношение сторон (других элементов) или площадей, например 1:2, 2:3 и прочие.
4. Перевод единиц измерения, причём пропорция используется для перевода единиц как в одной мере, так и для перевода из одной меры в другую:
— часы в минуты (и наоборот).
— единицы объёма, площади.
— длины, например мили в километры (и наоборот).
— градусы в радианы (и наоборот).
здесь без составления пропорции не обойтись.
Ключевой момент в том, что нужно правильно установить соответствие, рассмотрим простые примеры:
Необходимо определить число, которое составляет 35% от 700.
В задачах на проценты за 100% принимается та величина, с которой сравниваем. Неизвестное число обозначим как х. Установим соответствие:
Можно сказать, что семисот тридцати пяти соответствует 100 процентов.
Иксу соответствует 35 процентов. Значит,
700 – 100%
х – 35 %
Решаем

Ответ: 245
Переведём 50 минут в часы.
Мы знаем, что одному часу соответствует 60 минут. Обозначим соответсвие -x часов это 50 минут. Значит
1 – 60
х – 50
Решаем:
То есть 50 минут это пять шестых часа.
Ответ: 5/6
Николай Петрович проехал 3 километра. Сколько это будет в милях (учесть, что 1 миля это 1,6 км)?
Известно, что 1 миля это 1,6 километра. Число миль, которые проехал Николай Петрович примем за х. Можем установить соответствие:
Одной миле соответствует 1,6 километра.
Икс миль это три километра.
1 – 1,6
х – 3

Ответ: 1,875 миль
Вы знаете, что для перевода градусов в радианы (и обратно) существуют формулы. Я их не записываю, так как запоминать их считаю излишним, и так вам в памяти приходится держать много информации. Вы всегда сможете перевести градусы в радианы (и обратно), если воспользуетесь пропорцией.
Переведём 65 градусов в радианную меру.
Главное это запомнить, что 180 градусов это Пи радиан.
Обозначим искомую величину как х. Устанавливаем соответствие.
Ста восьмидесяти градусам соответствует Пи радиан.
Шестидесяти пяти градусам соответствует х радиан.изучить статью по этой теме на блоге. Материал в ней изложен несколько по иному, но принцип тот же. На этом закончу. Обязательно будет ещё что-нибудь интересненькое, не пропустите!
Если вспомнить само определение математики, то в нём есть такие слова: математика изучает количественные ОТНОШЕНИЯ (ОТНОШЕНИЯ-здесь ключевое слово). Как видите в самом определении математики заложена пропорция. Вообщем, математика без пропорции это не математика!!!
Всего доброго!
С уважением, Александр
P.S: Буду благодарен Вам, если расскажете о сайте в социальных сетях.
Пропорция — это математическое выражение, в котором два или более числа сравниваются друг с другом. В пропорциях могут сравниваться абсолютные величины и количества или части более крупного целого. Пропорции можно записывать и вычислять несколькими различными способами, однако в основе лежит один и тот же общий принцип.
Шаги
Часть 1
Что такое пропорция
-
Ознакомьтесь с тем, что означает пропорция. Как отмечено выше, пропорции позволяют определить соотношение между двумя и более величинами. Например, если для приготовления печенья необходимо 2 стакана муки и 1 стакан сахара, мы говорим, что между количеством муки и сахара существует пропорция (отношение) 2 к 1.
- С помощью пропорций можно показать, как различные величины относятся друг к другу, даже если они не связаны между собой непосредственно (в отличие от рецепта). Например, если в классе пять девочек и десять мальчиков, отношение количества девочек к числу мальчиков составляет 5 к 10. В этом случае одно число не зависит от другого и не связано с ним непосредственно: пропорция может измениться, если кто-то покинет класс или наоборот, в него придут новые ученики. Пропорция просто позволяет сравнить две величины.
-
Обратите внимание на различные способы выражения пропорций. Пропорции можно записать словами или использовать математические символы.
- В обыденной жизни пропорции чаще выражают словами (как приведено выше). Пропорции используются в самым разных областях, и если ваша профессия не связана с математикой или другой наукой, чаще всего вам будет попадаться именно такой способ записи пропорций.
- Пропорции часто записывают посредством двоеточия. При сравнении двух чисел с помощью пропорции их можно записать через двоеточие, например 7:13. Если сравнивается более двух чисел, двоеточие ставится последовательно между каждыми двумя числами, например 10:2:23. В приведенном выше примере для класса мы сравниваем количество девочек и мальчиков, причем 5 девочек: 10 мальчиков. Таким образом, в этом случае пропорцию можно записать в виде 5:10.
- Иногда при записи пропорций используют знак дроби. В нашем примере с классом отношение 5 девочек к 10 мальчикам запишется как 5/10. В этом случае не следует читать знак “делить” и необходимо помнить, что это не дробь, а соотношение двух разных чисел.
Часть 2
Операции с пропорциями
-
Приведите пропорцию к простейшей форме. Пропорции можно упрощать, как и дроби, за счет сокращения входящих в них членов на общий делитель . Чтобы упростить пропорцию, поделите все входящие в нее числа на общие делители. Однако при этом не следует забывать о первоначальных величинах, которые привели к данной пропорции.
- В приведенном выше примере с классом из 5 девочек и 10 мальчиков (5:10) обе стороны пропорции имеют общий делитель 5. Поделив обе величины на 5 (наибольший общий делитель), получаем отношение 1 девочка на 2 мальчика (то есть 1:2). Однако при использовании упрощенной пропорции следует помнить о первоначальных числах: в классе не 3 ученика, а 15. Сокращенная пропорция лишь показывает отношение между количеством девочек и мальчиков. На каждую девочку приходится два мальчика, но это отнюдь не означает, что в классе 1 девочка и 2 мальчика.
- Некоторые пропорции не поддаются упрощениям. Например, отношение 3:56 нельзя сократить, так как входящие в пропорцию величины не имеют общего делителя: 3 является простым числом, а 56 не делится на 3.
-
Для “масштабирования” пропорции можно умножать или делить. Пропорциями часто пользуются для того, чтобы увеличить или уменьшить числа в пропорции друг к другу. Умножение или деление всех входящих в пропорцию величин на одно и то же число сохраняет неизменным отношение между ними. Таким образом, пропорции можно умножать или делить на “масштабный” фактор.
- Предположим, пекарю необходимо утроить количество выпекаемого печенья. Если мука и сахар берутся в пропорции 2 к 1 (2:1), для увеличения количества печенья в три раза данную пропорцию следует умножить на 3. В результате получится 6 стаканов муки на 3 стакана сахара (6:3).
- Можно поступать и наоборот. Если пекарю необходимо уменьшить количество печенья в два раза, следует обе части пропорции поделить на 2 (или умножить на 1/2). В результате получится 1 стакан муки на полстакана (1/2, или 0,5 стакана) сахара.
-
Научитесь по двум эквивалентным пропорциям находить неизвестную величину. Еще одной распространенной задачей, для решения которой широко используются пропорции, является нахождение неизвестной величины в одной из пропорций, если дана аналогичная ей вторая пропорция. Правило умножения дробей значительно упрощает эту задачу. Запишите каждую пропорцию в виде дроби, затем приравняйте эти дроби друг другу и найдите искомую величину.
- Предположим, у нас есть небольшая группа учеников из 2 мальчиков и 5 девочек. Если мы хотим сохранить соотношение между мальчиками и девочками, сколько мальчиков должно быть в классе, в который входит 20 девочек? Для начала составим обе пропорции, одна из которых содержит неизвестную величину: 2 мальчика: 5 девочек = x мальчиков: 20 девочек. Если мы запишем пропорции в виде дробей, у нас получится 2/5 и x/20. После умножения обеих частей равенства на знаменатели получаем уравнение 5x=40; делим 40 на 5 и в итоге находим x=8.
Часть 3
Выявление ошибок
-
При операциях с пропорциями избегайте сложения и вычитания. Многие задачи с пропорциями звучат подобно следующей: “Для приготовления блюда требуется 4 картофелины и 5 морковок. Если вы хотите использовать 8 картофелин, сколько морковок вам понадобится?” Многие допускают ошибку и пытаются просто сложить соответствующие величины. Однако для сохранения прежней пропорции следует умножать, а не складывать. Вот ошибочное и правильное решение данной задачи:
- Неправильный метод: “8 — 4 = 4, то есть в рецепте добавилось 4 картофелины. Значит, необходимо взять прежние 5 морковок и прибавить к ним 4, чтобы… что-то не то! С пропорциями действуют по-другому. Попробуем еще раз“.
- Правильный метод: “8/4 = 2, то есть количество картофелин выросло в 2 раза. Это значит, что и число морковок следует умножить на 2. 5 x 2 = 10, то есть в новом рецепте необходимо использовать 10 морковок“.
-
Переведите все значения в одинаковые единицы измерения. Иногда проблема возникает из-за того, что величины имеют разные единицы измерения. Прежде чем записывать пропорцию, переведите все величины в одинаковые единицы измерения. Например:
- У дракона есть 500 граммов золота и 10 килограммов серебра. Каково соотношение золота к серебру в драконьих запасах?
- Граммы и килограммы являются различными единицами измерения, поэтому их следует унифицировать. 1 килограмм = 1 000 граммов, то есть 10 килограммов = 10 килограммов x 1 000 граммов/1 килограмм = 10 x 1 000 граммов = 10 000 граммов.
- Итак, дракон имеет 500 граммов золота и 10 000 граммов серебра.
- Отношение массы золота к массе серебра составляет 500 граммов золота/10 000 граммов серебра = 5/100 = 1/20.
-
Записывайте в решении задачи единицы измерения. В задачах с пропорциями намного легче найти ошибку в том случае, если записывать после каждой величины ее единицы измерения. Помните о том, что если в числителе и знаменателе стоят одинаковые единицы измерения, они сокращаются. После всех возможных сокращений в ответе должны получиться правильные единицы измерения.
- Например: даны 6 коробок, и в каждых трех коробках находится 9 шариков; сколько всего шариков?
- Неправильный метод: 6 коробок х 3 коробки/9 шариков = … Хм, ничего не сокращается, и в ответе выходит “коробки x коробки / шарики“. Это не имеет смысла.
- Правильный метод: 6 коробок х 9 шариков/3 коробки = 6 коробок х 3 шарика/1 коробка = 6 х 3 шарика/1 = 18 шариков.
Узнайте, для чего служат пропорции. Пропорции используются как в научных исследованиях, так и в повседневной жизни для сравнения различных величин и количеств. В простейшем случае сравниваются два числа, но пропорция может включать в себя любое количество величин. При сравнении двух или большего количества величин всегда можно применить пропорцию. Знание того, как величины соотносятся друг с другом, позволяет, к примеру, записать химические формулы или рецепты различных блюд. Пропорции пригодятся вам для самых разных целей.
